Holomorfie van de functie
f (z) = ln |z| + i arg z
Gegeven de functie:
Het
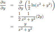
reële deel van de functie noem ik u en het
imaginaire deel v:

De grafiek van f (z)

De grafiek van |f (z)|
Vervolgens ga ik alle
partiële afgeleiden
bepalen:
De Cauchy-Riemann-vergelijkingen
luiden:
Nu is het een kwestie van invullen:
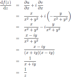
De
complexe afgeleide is:
Ook dit is een kwestie van invullen:

De grafiek van df (z)/dz

De grafiek van |df (z)/dz|
Aan de
Cauchy-Riemann-vergelijkingen
wordt voldaan, maar de functie is niet gedefinieerd voor z = 0 en de
afgeleide heeft een
pool in de oorsprong.
De functie is daarom overal
holomorf, behalve in de oorsprong.