Vectoren, vraagstuk 34
Gegeven het scalarveld G en het punt a:


-
Bereken:
Als:
- Wat is vanuit a de richting van de ‘grootste toename’ van G?
-
In welke richting is:

De grafiek van G (x, y, z) = (x − y)2 + (y − z)2 + (z − x)2 voor z = 0

De grafiek van G (x, y, z) = (x − y)2 + (y − z)2 + (z − x)2 voor z = 1

De grafiek van G (x, y, z) = (x − y)2 + (y − z)2 + (z − x)2 voor z = 2

De grafiek van G (x, y, z) = (x − y)2 + (y − z)2 + (z − x)2 voor z = 3
-
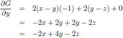
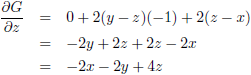
Bereken:
Als:
Om de gradiënt van G te berekenen bepalen we eerst alle partiële afgeleiden:
Daarmee is de gradiënt van G in een willekeurig punt:

Vervolgens vullen we het punt a in:
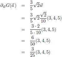
De gradiënt in de richting van w is de projectie van
G op w:
Of uitgeschreven in componenten:
-
Wat is vanuit a de richting van de ‘grootste toename’ van G?
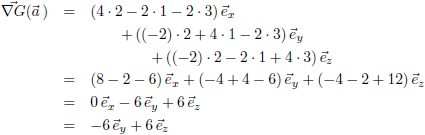
De gradiënt van G in a is:De gradiënt in een willekeurige richting u is de projectie van de gradiënt op u (en voor u kiezen we voor het gemak een eenheidsvector):
Hieruit is eenvoudig in te zien dat de projectie van de gradiënt op u maximaal is voor cos φ = 1, oftewel voor φ = 0 graden. De grootste toename van G is dus in de richting van de gradiëntvector zelf.
-
In welke richting is:
De gradiënt in een willekeurige richting u is de projectie van de gradiënt op u en die dient dus nul te zijn (het inwendig product dient dus nul te zijn):
In iedere richting dat de y-component en de z-component van u gelijk zijn is de gradiënt gelijk aan nul (ongeacht wat dan de x-component van u is).
Door naar het volgende vraagstuk: vectoren, vraagstuk 35
Terug naar het vorige vraagstuk: vectoren, vraagstuk 33
Overzichtspagina met vraagstukken
Vraagstukken xref voor de UT
De integraal van
De integraal van
De integraal van
De integraal van
De integraal van
De integralen van
De integralen van
Vectoren, vraagstuk 2
Vectoren, vraagstuk 47
Vectoren, vraagstuk 92
Taylor-reeksen
De Taylor-reeks van
De convergentie van een reeks
De astroïde
Holomorfie van de functie
Relativiteitstheorie
Uitleg artikel algemene relativiteitstheorie: inleiding hoofdstuk D
Relativistische periheliumprecessie, 2e orde benadering
Waar begint de spaghettificatie?
De zwaartekracht van een homogene ronde ster
Gravitationele rood-/blauwverschuiving
Getijdenkrachten
Zijn wij vroeg of laat?
De Einstein-Rosen-brug
De invaltijd van een baksteen die in een zwart gat valt
De buitenkant van een wormgat
De integraal van
Het waarneembare universum
Wat is een wormgat?
Overzichtspagina wiskunde
Overzichtspagina natuurkunde
Overzichtspagina filosofie
Doneer enkele euro’s
Wetenschappelijke boeken te koop
Lezingen