Vectoren, vraagstuk 33
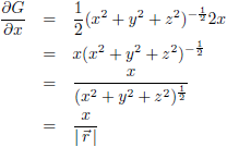
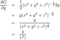
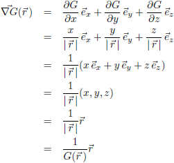
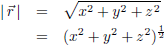
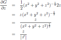
Gegeven het scalarveld G(r) = | r | (waarin met r de plaatsvector (x, y, z) is bedoeld).
Laat zien dat (voor alle r ≠ 0):

Het scalarveld G (x, y, z) (uitgedrukt in cijfers)

De grafiek van G (x, y, z) = |r| voor z = 0

De grafiek van G (x, y, z) = |r| voor z = 1


Door naar het volgende vraagstuk: vectoren, vraagstuk 34
Terug naar het vorige vraagstuk: vectoren, vraagstuk 32
Overzichtspagina met vraagstukken
Vraagstukken xref voor de UT
De integraal van
De integraal van
De integraal van
De integraal van
De integralen van
De integralen van
Covariante vectoren en contravariante vectoren
Vectoren, vraagstuk 43
Vectoren, vraagstuk 88
Taylor-reeksen
De Taylor-reeks van
De convergentie van een reeks
Involuties
Holomorfie van de functie
Integreren van complexe functies
Uitleg artikel algemene relativiteitstheorie: paragraaf 15
Afleiding van de Reissner-Nordström-oplossing
De pijn als je in een zwart gat valt
De wetten van Kepler met niet-verwaarloosbare secundaire massa
De energie-inhoud van het elektrische veld van een bol
Gravitationele rood-/blauwverschuiving
Getijdenkrachten
Zijn wij vroeg of laat?
De Einstein-Rosen-brug
De invaltijd van een baksteen die in een zwart gat valt
De buitenkant van een wormgat
De integraal van
De astroïde
Het waarneembare universum
Wat is een wormgat?
Overzichtspagina wiskunde
Overzichtspagina natuurkunde
Overzichtspagina filosofie
Doneer enkele euro’s
Wetenschappelijke boeken te koop
Lezingen