De potentialen van het elektromagnetische veld
Leid de vergelijkingen af voor de potentialen van het elektromagnetische veld.

De pijlen geven richting en grootte van de flux aan
‘Iets’ dat door een (denkbeeldig) oppervlak stroomt maal de grootte van dat oppervlak noemen we
flux:
Of wat wiskundiger opgeschreven:
Dat iets kan van alles zijn, het zou water kunnen zijn maar ook wat abstracters als warmte of een veld.
Omdat datgene wat stroomt niet altijd loodrecht op het oppervlak staat (waar het doorheen stroomt) en ook niet overal
dezelfde waarde/grootte zal hebben zullen we doorgaans moeten
integreren over het gehele oppervlak:
De punt in bovenstaande vergelijking geeft het
inwendig product aan,
en daardoor tellen alleen de componenten van
Ω mee die loodrecht door het oppervlak gaan (want d
A staat ook loodrecht
op het oppervlak, het is een
normaalvector).
Hier gaan we uiteraard gebruik van maken.
We beginnen bij de wet van De Coulomb en die zegt dat voor een elektrisch veld van een lading Q geldt:
Wanneer ik over een oppervlak
integreer waar dat
veld aanwezig is dan krijg ik de elektrische flux die door dat oppervlak stroomt:
Wanneer ik over een oppervlak
integreer dat die
lading Q
omsluit dan krijg ik de totale elektrische flux die door dat oppervlak stroomt ten gevolge van
de lading Q:
Laat ik eens het simpelste geval nemen van een bolvormig oppervlak met in het centrum een puntlading Q.
Dan krijg ik:
Vervolgens vergelijk ik dit met de wet van De Coulomb, vergelijking (4), en kan ik concluderen:
Oftewel:
Ik sleep de stelling van Gauss erbij.
Die zegt dat de flux door een gesloten oppervlak gelijk is aan de
divergentie van het veld binnen het
omsloten volume:
Door dit toe te passen op de vorige vergelijking krijg ik:
En door over te gaan van lading op ladingsdichtheid (lading per volume-eenheid) kan ik die driedubbele
integraal overboord zetten (want ik
hoef niet meer over het gehele volume te
integreren):
Dit is een van de wetten van Maxwell (de eerste om precies te zijn, vergelijking (9) is de
integraalvorm en
vergelijking (12) is de vectorvorm)
en dit verhaal kan ik herhalen voor magnetische velden.
Wanneer ik over een oppervlak integreer waar een
magnetisch veld aanwezig is dan krijg ik de magnetische flux die door dat oppervlak stroomt:
Echter, omdat er geen magnetische monopolen bestaan is de totale magnetische flux door een of ander gesloten
oppervlak altijd nul (want wat er in gaat moet er ook weer uitkomen):
Waaruit de tweede wet van Maxwell volgt (vergelijking (14) is de
integraalvorm en vergelijking (15) is de
vectorvorm):
Ik realiseer mij dat dit geen waterdichte afleidingen zijn van de eerste twee wetten van Maxwell, maar dat is ook
niet de bedoeling van deze pagina.
Het is mijn bedoeling om even een goed opstapje te maken naar de potentialen van het elektromagnetische veld en
daar ga ik nu mee beginnen.
Hierboven, vergelijking (15), staat dat de
divergentie
van het magnetische veld altijd gelijk is aan nul.
Ik kan bovenstaande vergelijking ook anders opschrijven:
Maar dan moet natuurlijk wel gelden:
Die
vector C zou zelfs de
rotatie
kunnen zijn van weer een andere willekeurige
vector,
bijvoorbeeld
A (niet te verwarren met het oppervlak A):
En in dat geval moet dus gelden:
Hiermee wordt vergelijking (15):
De pagina
manipulaties met nabla
leerde ons dat voor een willekeurige
vector V altijd geldt:
Het maakt dus inderdaad niet uit wat de
vector A is, want de
divergentie van de
rotatie van
A is altijd gelijk aan nul.
Precies zoals we het willen hebben.
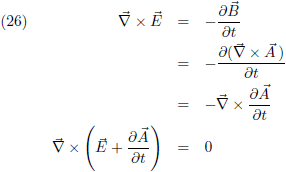
Vervolgens pak ik de inductiewet van Faraday (de derde wet van Maxwell) erbij.
Die zegt dat de integraal van een rondje door het
elektrische veld (een willekeurige route) mij de inductiespanning oplevert en dat die precies gelijk is aan de
verandering in de tijd van de magnetische flux binnen het rondje dat ik gemaakt heb (met een minteken):
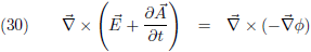
De stelling van Stokes vertelt mij:
Door dit toe te passen op de vorige vergelijking krijg ik:
En door gebruik te maken van vergelijking (13) kom ik tot:
Nu maak ik gebruik van vergelijking (19):
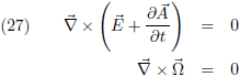
Dat deel tussen haakjes is een
vector
en die noem ik even
Ω:
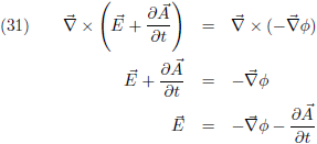
Die
vector Ω zou verkregen kunnen zijn door de
gradiënt te nemen van een of ander scalarveld φ
(waarom ik dat minteken erin gooi zal later duidelijk worden):
En de
rotatie van de
gradiënt van een
willekeurig scalarveld is altijd nul dus ik doe niets illegaals.
Ook dat kan ik opzoeken op de pagina
manipulaties met nabla voor een willekeurig scalarveld S:
Aldus heb ik nu:
Oftewel:
In de statische situatie is de bovenstaande
afgeleide
naar de tijd gelijk aan nul en blijft over:
Het statische elektrische veld is conservatief, want het is gericht langs r en alleen afhankelijk van r,
en daarom moet er een potentiaalfunctie bestaan waar het elektrische veld de
gradiënt van is (met een minteken):
Een enkele blik richting de vorige vergelijking maakt duidelijk:

Potentiaalverschillen
Daarmee is het duidelijk dat de scalarfunctie φ de potentiaalfunctie is van het statische elektrische veld en de
vector A duiden we als de
potentiaal
vector van het magnetische veld:
Ik kan me voorstellen dat je nu een beetje twijfelachtig voor je uit zit te kijken.
Een halve pagina terug kwam ik zomaar aanzetten met een vector
A, waar ik verder geen enkele
voorwaarde aan stelde, en nu noem ik dat ineens de
potentiaal
vector van het magnetische veld.
Wat is er aan de hand?
De vergelijkingen van Maxwell dat zijn er vier in totaal.
Echter, de derde - en de vierde wet zijn
vectorvergelijkingen
en wanneer ik die in componenten uitschrijf dan levert dat dus tweemaal drie is zes vergelijkingen op.
Voeg daarbij de eerste - en de tweede wet en dan heb je dus acht vergelijkingen in totaal.
En met acht vergelijkingen kan ik acht onbekenden oplossen, want een elementaire wiskundige regel zegt
dat er evenveel onafhankelijke vergelijkingen nodig zijn als het aantal op te lossen onbekenden.
De onbekenden zijn het elektrische veld en het magnetische veld, dit zijn allebei
vectorgrootheden met ieder drie componenten.
Er zijn in totaal dus slechts zes onbekenden terwijl ik acht vergelijkingen heb.
Met andere woorden: de wetten van Maxwell herbergen twee afhankelijke vergelijkingen (lees: redundante informatie).
Door wiskundig behendig te manoeuvreren nutten de elektromagnetische potentialen dat uit.
Dit levert versimpeling op plus bonus, zie
deze pagina.