De wetten van Maxwell met potentialen

Schrijf de wetten van Maxwell met enkel en alleen potentialen.

Maxwell

Dit zijn de wetten van Maxwell, ik gooi ze er gelijk in:




Op deze pagina leidde ik de vergelijkingen af voor de potentialen van het elektromagnetische veld:

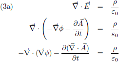
De logische volgende stap is uiteraard om de potentialen van het elektromagnetische veld te substitueren in de wetten van Maxwell, dus dat ga ik doen:



Ik spiek even op de pagina manipulaties met nabla en daar zie ik staan:



Dit ga ik gebruiken in de vergelijkingen (3):



De vergelijkingen (5b) en (5c) bevestigen dat ik correct gewerkt heb en die zijn verder van geen waarde. Dan houden we twee vergelijkingen over, (5a) en (5d), waarin alle informatie ligt besloten die ook in de vier wetten van Maxwell zit. De onbekenden in de wetten van Maxwell zijn het elektrische veld en het magnetische veld, dit zijn allebei vectorgrootheden met ieder drie componenten. Er waren in totaal dus zes onbekenden terwijl ik nu twee vergelijkingen heb, in plaats van vier, met vier onbekenden (één onbekende in vergelijking (5a) en drie in (5d), want dat is een vectorvergelijking) in plaats van zes:

En er is nog meer goed nieuws, want er is nog de mogelijkheid om extra eisen te stellen aan de vector A. Dat is iets voor deze pagina.