Uitschrijven van de sommatieconventie
De sommatieconventie van Einstein is een methode om heel compact het sommeren van termen op te schrijven. Waarschijnlijk werd Einstein het zelf ook zat om telkens sommeringstekens te moeten opschrijven en zag hij in dat sommering altijd moest plaatsvinden voor een index die zowel een keer laag stond als een keer hoog. Een misverstand was eigenlijk uitgesloten en de sommeringstekens zijn in die gevallen overbodige ballast. En omdat de kracht van de wiskunde daarin besloten ligt om complexe zaken zo simpel mogelijk en toch eenduidig op te schrijven vond de sommeringsconventie van Einstein ingang en gebruiken we die tot op de dag van vandaag.
De index waar over gesommeerd moet worden heet de dode index of dummy index. De andere index heet de lopende index. Beide soorten indices kunnen ook in meervoud voorkomen (zoals uit onderstaande voorbeelden zal blijken). Om te onthouden: lopende indices bevinden zich aan beide zijden van een vergelijking en dummy indices slechts aan één zijde. En indien een index meer of minder dan tweemaal voorkomt dan kun je er eigenlijk wel zeker van zijn dat je vergelijking niet deugt (in ieder geval binnen de algemene relativiteitstheorie). Verder wil ik nog opmerken dat de sommatieconventie niet goed werkt bij Christoffel-symbolen volgens hun klassieke notatie (met de vierkante haken en de accolades), maar wel bij gebruik van de Griekse letter Γ (zoals je het dan ook vaak in moderne literatuur aantreft).
-
De sommatieconventie van Einstein werkt voor indices die zowel laag als hoog voorkomen.
In dit geval is dat alleen die v, en omdat die u maar éénmaal voorkomt hebben we daar niets mee te maken
(voor wat betreft de sommatieconventie):
-
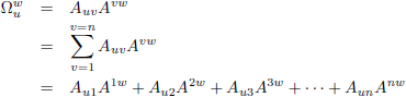
Dit is een variant op het vorige sommetje, maar er is nu een index w bijgekomen.
Voor het sommeren maakt dit echter niets uit.
Je kunt het ook anders bekijken, want een index die aan beide zijden van het =-teken staat (hier zijn dat de u
en de w) is nooit een index waarover gesommeerd moet worden:
-
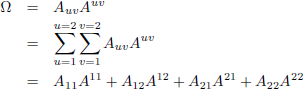
Hier zijn twee indices, de u en de v, en beide komen ze hoog en laag voor, dus over beide moet gesommeerd worden.
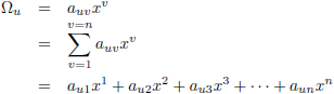
Ik ga ervanuit dat n = 2, omdat het aantal termen exponentieel toeneemt met n:
-
Zoals gezegd neemt het aantal termen exponentieel toe met n.
Hier staat expliciet vermeld dat n = 3 en dan zijn er ineens al negen termen in plaats van vier:
-
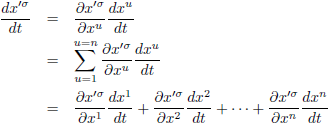
De sommatieconventie van Einstein werkt voor indices die zowel laag als hoog voorkomen, waarbij we moeten bedenken
dat een hoge index in de noemer gelijk is aan een lage index in de teller en vice versa:
-
Dit ziet er wellicht wat indrukwekkender uit door al die
afgeleiden en de apostrophs,
maar laat je daardoor niet van de wijs brengen.
Er is alleen die index u waarover gesommeerd moet worden:
-
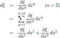
Dit is puur om je in verwarring te brengen, vooral door de toevoeging n = 2.
Er is geen index die zowel hoog als laag voorkomt en daarom is er niets te sommeren.
Uiteindelijk is dit dus een hele simpele en is het antwoord gelijk aan de vraag:
-
Die a en dat kwadraat
zijn er om de aandacht af te leiden, terwijl het alleen draait om die index u:
-
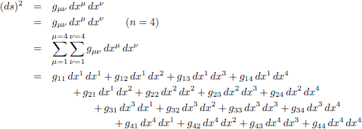
Dit is het interval (in het kwadraat) zoals je dat
binnen de algemene relativiteitstheorie veel tegenkomt.
Helemaal uitgeschreven ziet het er zo uit:
-
Dit is om even goed duidelijk te maken hoeveel complexiteit de sommeringsconventie kan herbergen.
Zoals ik eerder al aangaf neemt het aantal termen exponentieel toe met het aantal sommeringstekens.
Om precies te zijn is het aantal termen gelijk aan het aantal dimensies (n) tot de
macht het aantal sommeringen (s),
oftewel, het aantal termen = ns.
In dit geval, 43 = 64 termen:












Door naar het volgende vraagstuk: Christoffel-symbolen van de eerste soort bij een diagonale metriek
Terug naar het vorige vraagstuk: de sommatieconventie van Einstein
Overzichtspagina met vraagstukken
De ART-vergelijkingen in componenten van de metrische tensor
De integraal van
De integraal van
De integraal van
De integraal van
De integraal van
De integralen van
De integralen van
Vectoren, vraagstuk 10
Vectoren, vraagstuk 55
Vraagstukken xref voor de UT
De Taylor-reeks van
De Taylor-reeks van
Een reeks afsplitsen van
De faculteitsfunctie
Holomorfie van de functie
Relativiteitstheorie
Uitleg artikel algemene relativiteitstheorie: inleiding hoofdstuk D
Relativistische periheliumprecessie, 2e orde benadering
Waar begint de spaghettificatie?
De zwaartekracht van een homogene ronde ster
De integraal van
De Witte Dag
De integraal van
De cycloïde
De minimale straal van een holle bol
Een planeettijdreismachine
De integralen van
Gravitationele rood-/blauwverschuiving
Getijdenkrachten
Zijn wij vroeg of laat?
Overzichtspagina wiskunde
Overzichtspagina natuurkunde
Overzichtspagina filosofie
Doneer enkele euro’s
Wetenschappelijke boeken te koop
Lezingen