De sommatieconventie van Einstein
De sommatieconventie van Einstein is een methode om heel compact het sommeren van termen op te schrijven. Waarschijnlijk werd Einstein het zelf ook zat om telkens sommeringstekens te moeten opschrijven en zag hij in dat sommering altijd moest plaatsvinden voor een index die zowel een keer laag stond als een keer hoog. Een misverstand was eigenlijk uitgesloten en de sommeringstekens zijn in die gevallen overbodige ballast. En omdat de kracht van de wiskunde daarin besloten ligt om complexe zaken zo simpel mogelijk en toch eenduidig op te schrijven vond de sommeringsconventie van Einstein ingang en gebruiken we die tot op de dag van vandaag.
De index waar over gesommeerd moet worden heet de dode index of dummy index. De andere index heet de lopende index. Beide soorten indices kunnen ook in meervoud voorkomen (zoals uit onderstaande voorbeelden zal blijken). Om te onthouden: lopende indices bevinden zich aan beide zijden van een vergelijking en dummy indices slechts aan één zijde. En indien een index meer of minder dan tweemaal voorkomt dan kun je er eigenlijk wel zeker van zijn dat je vergelijking niet deugt (in ieder geval binnen de algemene relativiteitstheorie). Verder wil ik nog opmerken dat de sommatieconventie niet goed werkt bij Christoffel-symbolen volgens hun klassieke notatie (met de vierkante haken en de accolades), maar wel bij gebruik van de Griekse letter Γ (zoals je het dan ook vaak in moderne literatuur aantreft).
-
De sommatieconventie van Einstein werkt voor indices die zowel laag als hoog voorkomen (waarbij we moeten bedenken
dat een hoge index in de noemer gelijk is aan een lage index in de teller en vice versa).
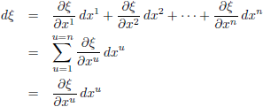
In dit geval zijn dat die 1 en die 2 (en die n = 2 laten we uiteindelijk vaak weg, omdat wel duidelijk is/wordt uit
de context wat n moet zijn):
-
Dit is een variant op het vorige sommetje, maar dan uitgebreid tot n termen:
-
Dit is weer een variant op het vorige sommetje, maar er staat nu ook nog een differentiaal bij die echter voor de
sommatie niets uitmaakt:
-
Dit is een slecht voorbeeld van het gebruik van de sommatieconventie, omdat de indices hier allebei laag staan.
De regel is om te sommeren over indices die laag en hoog staan, en eigenlijk is dit dus gewoon fout (al zullen
de meeste lezers wel snappen wat hier wordt bedoeld):
-
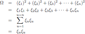
Kijk, dit is zoals het hoort.
De indices die hier zowel laag als hoog voorkomen zijn die 1, 2, 3 en n.
Het is ondubbelzinnig dat we daarover moeten sommeren:
-
Ook dit is weer een beroerd voorbeeld van het gebruik van de sommatieconventie, omdat we hier sommeren over meer
dan één lage - en hoge index tegelijkertijd.
Het zou veel beter/mooier zou het zijn om die guu op de een of andere manier te hernoemen naar gu en het dan zo op te schrijven:
-
Dit is wederom een slecht voorbeeld van het gebruik van de sommatieconventie.
Je zou er weer, net als bij het vorige sommetje, zoiets van kunnen maken:
Als redding kun je de neiging krijgen om zoiets op te schrijven, maar dat is pas echt fout. Want oorspronkelijk waren er n termen, en als je dit uitschrijft krijg je n3 termen:
Om je huid te redden kom je wellicht tot deze uitvlucht, een hoogst ongebruikelijke drakenconstructie:
Hoe je het ook wendt of keert, dit gaat gewoon geen schoonheidsprijs opleveren.
-
Dit is een hele simpele, gewoon de sommeringstekens weglaten:
-
Laat je niet van de wijs brengen, omdat er nu ineens een
afgeleide bijstaat.
Ook dit is een hele simpele, gewoon de sommeringstekens weglaten:
-
Dit is om even goed duidelijk te maken hoeveel complexiteit sommeringstekens kunnen herbergen.
Zestien termen worden hieronder samengebracht tot een bedrieglijk simpel ogende vergelijking, en zoals ik eerder
al aangaf neemt het aantal termen exponentieel toe met het aantal sommeringstekens.
Om precies te zijn is het aantal termen gelijk aan het aantal dimensies (n) tot de
macht het aantal sommeringen (s),
oftewel, het aantal termen = ns.
In dit geval, 42 = 16 termen:












Door naar het volgende vraagstuk: uitschrijven van de sommatieconventie
Terug naar het vorige vraagstuk: hoe vormt zich de Ricci-scalar?
Overzichtspagina met vraagstukken
De ART-vergelijkingen in componenten van de metrische tensor
De integraal van
De integraal van
De integraal van
De integraal van
De integraal van
De integralen van
De integralen van
Vectoren, vraagstuk 9
Vectoren, vraagstuk 54
Vraagstukken xref voor de UT
De Taylor-reeks van
De Taylor-reeks van
Een reeks afsplitsen van
De faculteitsfunctie
Holomorfie van de functie
Samenvatting van de holomorfietabel van complexe functies
Uitleg artikel algemene relativiteitstheorie: paragraaf 18
Relativistische periheliumprecessie, 1e orde benadering
De oppervlaktezwaartekracht van een zwart gat
Het traagheidsmoment van een homogene oblate ster
De integraal van
De Witte Dag
De integraal van
De cycloïde
De minimale straal van een holle bol
Een planeettijdreismachine
De integralen van
Gravitationele rood-/blauwverschuiving
Getijdenkrachten
Zijn wij vroeg of laat?
Overzichtspagina wiskunde
Overzichtspagina natuurkunde
Overzichtspagina filosofie
Doneer enkele euro’s
Wetenschappelijke boeken te koop
Lezingen