Wat is de metrische tensor?
Wat is de metrische tensor?
Stel ik heb de volgende situatie.
Ik heb een groen assenstelsel en een rood assenstelsel, met de bijbehorende
basisvectoren,
en nog een willekeurige
vector
v:
De componenten van de
vectoren
in het groene stelsel zijn
ex = (1, 0),
ey = (0, 1),
e’
x = (1, 0.5),
e’
y = (0.25, 1) en
v = (0.5, 0.5).
Ik ben geïnteresseerd in de
covariante componenten,
de
contravariante componenten,
het
inwendig product
en de
norm
van alle
vectoren
in zowel het groene - als het rode stelsel.
Dat heb ik in detail uitgewerkt op
deze pagina
en dat leverde dit op:
 |
Vector |
Covariante componenten |
Contravariante componenten |
Inwendig product (met zichzelf) |
Norm |
| x |
y |
x |
y |
| Het groene stelsel |
| Basisvectoren |
ex |
1 |
0 |
1 |
0 |
1 ∙ 1 + 0 ∙ 0 = 1 |
√1 = 1 |
| ey |
0 |
1 |
0 |
1 |
0 ∙ 0 + 1 ∙ 1 = 1 |
√1 = 1 |
Overige vectoren |
e’x |
1 |
0.5 |
1 |
0.5 |
1 ∙ 1 + 0.5 ∙ 0.5 = 1.25 |
√1.25 = 1.118034 |
| e’y |
0.25 |
1 |
0.25 |
1 |
0.25 ∙ 0.25 + 1 ∙ 1 = 1.0625 |
√1.0625 = 1.030776 |
| v |
0.5 |
0.5 |
0.5 |
0.5 |
0.5 ∙ 0.5 + 0.5 ∙ 0.5 = 0.5 |
√0.5 = 0.707107 |
| Het rode stelsel |
| Basisvectoren |
e’x |
1.25 |
0.75 |
1 |
0 |
1.25 ∙ 1 + 0.75 ∙ 0 = 1.25 |
√1.25 = 1.118034 |
| e’y |
0.75 |
1.0625 |
0 |
1 |
0.75 ∙ 0 + 1.0625 ∙ 1 = 1.0625 |
√ = 1.030776 |
Overige vectoren |
ex |
1 |
0.25 |
1.142857 |
−0.571429 |
1 ∙ 1.142857 + 0.25 ∙ (−0.571429) = 1 |
√1 = 1 |
| ey |
0.5 |
1 |
−0.285714 |
1.142857 |
0.5 ∙ (−0.285714) + 1 ∙ 1.142857 = 1 |
√1 = 1 |
| v |
0.75 |
0.625 |
0.428571 |
0.285714 |
0.75 ∙ 0.428571 + 0.625 ∙ 0.285714 = 0.5 |
√0.5 = 0.707107 |
Vroeg of laat roept de bovenstaande overzichtstabel twee vragen op:
- Is er niet een of ander ‘ding’ te bedenken waaraan ik direct kan zien hoe mijn assenstelsel eruit ziet?
- Is er niet een of andere wiskundige truc beschikbaar waardoor ik heel gemakkelijk rechtstreeks vanuit de
covariante componenten
de
contravariante componenten
kan berekenen en vice versa?
En wat is nou het leuke?
Het antwoord op de eerste vraag is “ja”, en daarmee is ook gelijk de wiskundige truc mogelijk van de tweede vraag.
De twee specifieke kenmerken van ieder assenstelsel zijn de onderlinge hoeken tussen de assen en de groottes van
de
basisvectoren.
En aangezien het
inwendig product
precies dát in zich heeft gaan we daar gebruik van maken.
Ik stel een
matrix
op die is gevuld met
inwendige producten
tussen alle
basisvectoren.
Deze matrix noem ik g (van geometrie):
In het geval dat de
basisvectoren
eenheidsvectoren zijn, zoals in het groene stelsel, dan vult de
hoofddiagonaal
zich met enen:
En wanneer de assen dan ook nog loodrecht op elkaar staan, we hebben dan een Cartesisch stelsel, dan zijn alle overige
elementen nul:
Het moge duidelijk zijn dat de
matrix
g altijd symmetrisch is, omdat het
inwendig product
commutatief
is:
Voor het groene stelsel kunnen we g zo opschrijven, het is de
eenheidsmatrix:
Voor het rode stelsel moeten we wat meer werk doen.
Ik ga even wat hoeken aangeven:
Door het toepassen van enige elementaire
goniometrie
vind ik de hoeken:
Waarna ik g op kan schrijven voor het rode stelsel:
De
matrix
g is de
metrische tensor, of kortweg de
metriek.
Hieraan kun je direct aflezen hoe je assenstelsel eruit ziet.
Is het Cartesisch of niet, en hoe groot zijn de
basisvectoren?
Net als bij een gewone
matrix
kunnen we ook van de metrische tensor de inverse bepalen, met dat verschil dat er geen exponent −1
bijkomt maar de indices gaan van laag naar hoog (of vice versa):
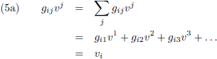
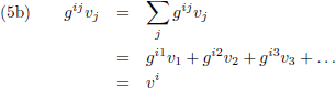
En nu gaan we de kracht van tensornotatie aan het werk zien.
Alle
vectoren
geef ik vanaf nu de status van tensoren en dat had ik zojuist al gedaan voor de
matrix
g.
De regel is heel simpel: wanneer ik twee tensoren met elkaar vermenigvuldig dan moet ik sommeren over iedere index
die zowel een keer hoog als laag voorkomt, en die index komt dan niet meer voor in het antwoord.
Dat ziet er dan zo uit, en ik laat vanaf nu de vectorpijltjes weg omdat ik ze zojuist gepromoveerd heb tot tensoren:
En hoe weet je dan hoeveel termen je moet sommeren, oftewel, wat is het bereik van j?
Dat wordt aan de lezer overgelaten om dat ergens uit de context van het verhaal te destilleren, maar doorgaans is dat
het aantal dimensies.
In het groene stelsel is dit hele verhaal allemaal niet zo interessant, omdat dat Cartesisch is en g is de
eenheidsmatrix, maar in het rode stelsel liggen de zaken anders.
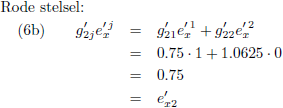
Ik zal in detail laten zien hoe dit voor de
vector
e’
x uitwerkt:
Nu doe ik het in minder detail voor alle
vectoren
in het rode stelsel:
En ook even de omgekeerde bewerking:
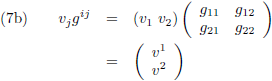
Werken met de metrische tensor is heerlijk en je mag ook heerlijk slordig zijn, het komt toch allemaal wel op
z’n pootjes terecht.
Want eigenlijk, als je heel netjes bent, moet je een covariante
vector
als rijvector schrijven en een contravariante
vector
als kolomvector.
Om de regels van de matrixvermenigvuldiging te respecteren behoor je dan te schrijven:
Maar dat doet (bijna) geen mens en bovendien zijn de bovenstaande vergelijkingen ook fout volgens diezelfde
regels van de matrixvermenigvuldiging (een
matrix
maal een kolomvector is immers een kolomvector en een rijvector maal een
matrix
is een rijvector).
Daarbovenop, om hetzelfde antwoord te krijgen moet je in het ene geval de
getransponeerde
versie (b en c wisselen van plaats) van de andere gebruiken:
Echter, de metrische tensor is symmetrisch en daarom heeft
transponeren
geen toegevoegde waarde (en mogen we dus heerlijk slordig zijn).
Om diezelfde regels van de matrixvermenigvuldiging te respecteren is dit wel zinvol (met de covariante
vector
als rijvector en de contravariante
vector
als kolomvector):
En dit is onzin:
Ook daar stoort (bijna) niemand zich aan, men snapt wat er bedoeld wordt en dat voldoet.
En zoals ik hiervoor al opmerkte moet de lezer zelf uitdokteren over welk bereik er gesommeerd moet worden.
Sterker nog, ook het sommatieteken is overboord gekieperd (door Einstein) en mag door de lezer zelf erbij
geïnterpreteerd worden.
Je kunt het allemaal vergelijken met dat je in de auto zit en zegt “ik rij tachtig”.
Zonder dat je vermeldt wat de eenheid is, zonder dat je vermeldt in welke richting, zonder dat je vermeldt
ten opzichte waarvan, zelfs zonder dat je vermeldt dat het over de snelheid gaat weet iedere toehoorder
perfect waar je het over hebt.
Zo is het ook met tensornotatie, zolang je indices maar kloppen (het juiste aantal en op de juiste hoogte)
dan komt alles goed.
Tenslotte wil ik nog opmerken dat de covariante versie van de metrische tensor gevormd wordt door de
covariante componenten van de
basisvectoren
(omdat de metrische tensor symmetrisch is mag ik de
basisvectoren
als kolomvectoren naast elkaar zetten of als rijvectoren boven elkaar):
Of door twee
matrices
te vermenigvuldigen als volgt:
Rood of groen als index meegeven is kennelijk overbodig, dus die kan ik dan ook wel weglaten:
Oftewel:
Hetgeen ons weer brengt bij het begin, vergelijking (1):
Alles wat ik wens te converteren kan ik doen met een
matrix
die opgebouwd is uit
basisvectoren:
| De basisvectoren
uitgedrukt in contravariante componenten |
Contravariant groen naar contravariant rood:
 |
Covariant groen naar covariant rood:
 |
Contravariant rood naar contravariant groen:
 |
Covariant rood naar covariant groen:
 |
| De basisvectoren
uitgedrukt in covariante componenten |
Contravariant groen naar covariant groen:
 |
Contravariant rood naar covariant rood:
 |
Covariant groen naar contravariant groen:
 |
Covariant rood naar contravariant rood:
 |
De metrische tensor vervult een sleutelrol, het is een link tussen covariant en contravariant en maakt in
één oogopslag duidelijk met wat voor een soort assenstelsel je te maken hebt.
Het is moeilijk het belang van de metrische tensor te overschatten.