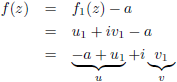
Holomorfie van de functie
f (z) = f1 (z) − a



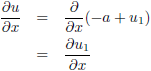
De Cauchy-Riemann-vergelijkingen luiden (die ik hierna aanduid met CR1 en CR2):




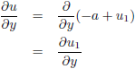
De Cauchy-Riemann-vergelijkingen luiden (die ik hierna aanduid met CR1 en CR2):


