De Taylor-reeks van
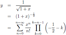
f (x) = 1/(1 + x)1/2
Trefwoorden/keywords: Taylor-reeks/Taylor series, f (x) = 1/(1 + x)1/2

De grafiek van f (x) = 1/(1 + x)
1/2
De reeks van (1 + x)
p voor willekeurige waarden van p kun je elders vinden in de
tabel met Taylor-reeksen:
Vervolgens kies ik p = −0.5:
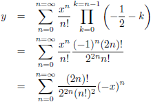
Ik ga even een aantal termen uitschrijven voor de duidelijkheid:
Het is dus even opletten bij de eerste term, want de productreeks wordt daar niet doorlopen en dat levert één op:
Uit het bovenstaande volgt ook dat ik de productreeks op een andere manier kan schrijven:
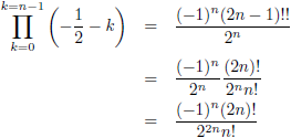
Ik ga die
dubbele faculteiten omschrijven
naar een enkele
faculteit:
Hiermee kan ik de Taylor-reeks van de functie ook schrijven als volgt:
Om te voorkomen dat je tegen de grenzen van je rekenprogramma aanloopt is het wel handig om niet
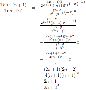
iedere term opnieuw te berekenen, maar ten opzichte van de voorgaande term:
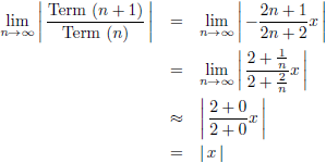
Het is belangrijk om te kijken naar de
convergentie
van deze reeks, want indien de reeks divergeert dan hebben we er niets aan.
De belangrijkste voorwaarde voor
convergentie
is indien de termen uitdoven als het ware, dus als een term voor grote waarden van n kleiner is dan de
voorgaande term (in
absolute waarden
gesproken uiteraard):
Voor deze reeks ziet dat er als volgt uit:
Dit moet kleiner dan één zijn, oftewel | x | < 1.

De grafiek van f (x) met daaroverheen de Taylor-reeks met 10 termen (de oranje lijn),
20 termen (de paarse lijn), 50 termen (de grijze lijn) en 100 termen (de blauwe lijn)
Ik zoom nog even in op het convergentiegebied.

De grafiek van f (x) met daaroverheen de Taylor-reeks met 10 termen (de oranje lijn),
20 termen (de paarse lijn), 50 termen (de grijze lijn) en 100 termen (de blauwe lijn)