Vectoren, vraagstuk 85
Bereken:
Waarbij het vectorveld F gegeven is door:
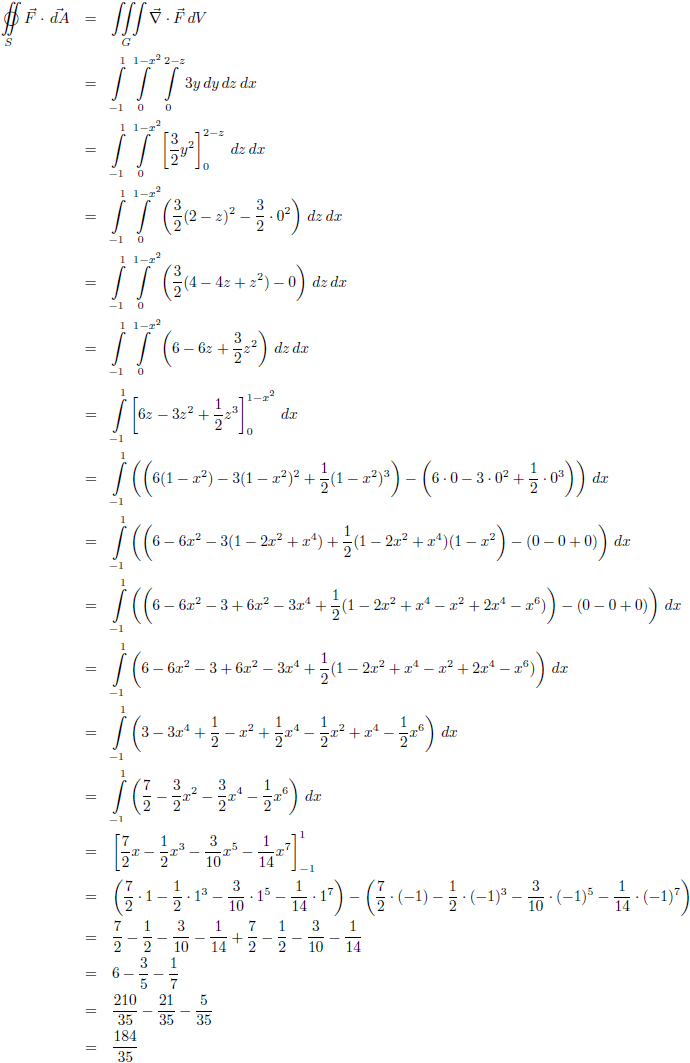
S is het oppervlak van het gebied G dat begrensd wordt door de parabolische cilinder:
En verder wordt G begrensd door de vlakken:





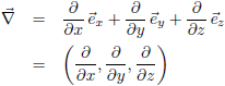
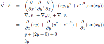
Het vectorveld F

De grafiek van z = 1 − x2
Omdat het gebied G maar liefst begrensd wordt door vier ‘verschillende’ oppervlakken (de parabolische cilinder, het x-y-vlak, het x-z-vlak en het vlak y + z = 2) wordt het hier wel heel aantrekkelijk om met de stelling van Gauss aan de slag te gaan. Volgens meneer Gauss geldt:
kennen we als volgt:
∙ F:



Door naar het volgende vraagstuk: vectoren, vraagstuk 86
Terug naar het vorige vraagstuk: vectoren, vraagstuk 84
Overzichtspagina met vraagstukken
Vraagstukken xref voor de UT
De integraal van
De integraal van
De integraal van
De integraal van
De integraal van
De integralen van
De integralen van
Vectoren, vraagstuk 23
Vectoren, vraagstuk 68
De sommatieconventie van Einstein
De Taylor-reeks van
Tabellen met Taylor-reeksen
Boeken die uitsteken
Hyper-Catalan-getallen
Holomorfie van de functie
Relativiteitstheorie rekenkundig, hoofdstuk 1: snelheden
De ontsnappingssnelheid
Lorentz-transformaties zonder invariantie van de lichtsnelheid
De energie van zwaartekrachtgolven
Vraagstukken kwantummechanica
De integraal van
De Witte Dag
De integraal van
De cycloïde
De minimale straal van een holle bol
Een planeettijdreismachine
De integralen van
Gravitationele rood-/blauwverschuiving
Getijdenkrachten
Zijn wij vroeg of laat?
Overzichtspagina wiskunde
Overzichtspagina natuurkunde
Overzichtspagina filosofie
Doneer enkele euro’s
Wetenschappelijke boeken te koop
Lezingen