Vectoren, vraagstuk 56
Gegeven de ruimtekromme C met parametrisering:
- Laat zien dat elk punt van de kromme op een kegel ligt waarvan de top zich in de oorsprong bevindt.
- Interpreteer t als de tijd, en bereken de grootte van de snelheid van een punt dat volgens r (t) langs de baan C beweegt.
- In welke richting verlaat de kromme de oorsprong (in t = 0)?
- Bepaal de lengte van C als functie van t (laat eventueel een integraal in het antwoord staan).

De grafiek van r (t) = (x = t cos t, y = t sin t, z = t)
-
Laat zien dat elk punt van de kromme op een kegel ligt waarvan de top zich in de oorsprong bevindt.
Ik ga de vergelijking voor C iets anders opschrijven:

Een kegel (een dubbele zelfs, een diabolo) met de top in de oorsprongHet deel tussen haakjes is een eenheidscirkel, dus x en y beschrijven een cirkel met straal t:
De straal t van deze cirkel neemt toe met toenemende z (want z = t) waardoor zich de kegel vormt.
Het is wellicht duidelijker door eerst om te schrijven naar cilindercoördinaten:De vergelijking voor C wordt dan:

Hierin is de kegel misschien duidelijker herkenbaar.
-
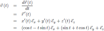
Interpreteer t als de tijd, en bereken de grootte van de snelheid van een punt dat volgens r (t) langs de baan C beweegt.
De snelheid v volgt uit:Waaruit de grootte (= norm) van v volgt:
-
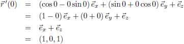
In welke richting verlaat de kromme de oorsprong (in t = 0)?
Hiervoor vonden we reeds:Door de coördinaten van de oorsprong, dus t = 0, in te vullen krijgen we het antwoord:
-
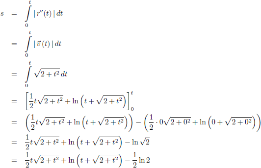
Bepaal de lengte van C als functie van t (laat eventueel een
integraal
in het antwoord staan).
Met alle voorgaande resultaten nog bij de hand is de booglengte te berekenen als volgt:De oplossing van de integraal van (2 + x2)1/2 kun je vinden in de tabel met integralen.
Door naar het volgende vraagstuk: vectoren, vraagstuk 57
Terug naar het vorige vraagstuk: vectoren, vraagstuk 55
Overzichtspagina met vraagstukken
Vraagstukken xref voor de UT
De integraal van
De integraal van
De integraal van
De integraal van
De integralen van
De integralen van
Vectoren, vraagstuk 6
Vectoren, vraagstuk 51
Covariante - en contravariante componenten van een vector
Taylor-reeksen
De Taylor-reeks van
Een reeks afsplitsen van
Het getal e
Holomorfie van de functie
Relativiteitstheorie basic, hoofdstuk 1: snelheden
Uitleg artikel algemene relativiteitstheorie: paragraaf 22
De relativistische rotatie-energie van een holle bol
Het spectrum van een zwart gat
De omtrek van een planeetbaan
Is er voldoende zonne-energie voor de mensheid?
Gravitationele rood-/blauwverschuiving
Getijdenkrachten
Zijn wij vroeg of laat?
De Einstein-Rosen-brug
De invaltijd van een baksteen die in een zwart gat valt
De buitenkant van een wormgat
De integraal van
De astroïde
Het waarneembare universum
Wat is een wormgat?
Overzichtspagina wiskunde
Overzichtspagina natuurkunde
Overzichtspagina filosofie
Doneer enkele euro’s
Wetenschappelijke boeken te koop
Lezingen