Hoe vormt zich de Ricci-scalar?

Hoe vormt zich de Ricci-scalar?

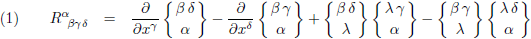
Riemann

Dit is de Riemann-tensor:


Christoffel

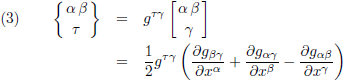
De Riemann-tensor volgens vergelijking (1) is gegeven in Christoffel-symbolen. De definitie van de Christoffel-symbolen van de eerste soort is:

En de definitie van de Christoffel-symbolen van de tweede soort is:

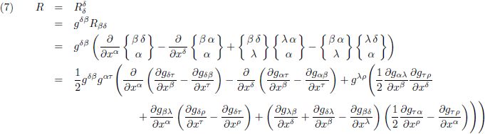
Ricci-Curbastro

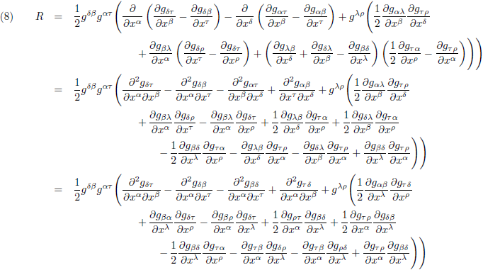
Door een contractie uit te voeren op de Riemann-tensor ontstaat de Ricci-tensor: Uitgeschreven in Christoffel-symbolen ziet die er zo uit:

En helemaal uitgeschreven in componenten van de metrische tensor ziet dat er zo uit (voor de afleiding zie deze pagina):
Hiervan ga ik de gemengde vorm maken door te vermenigvuldigen met de contravariante metrische tensor:
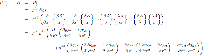
Op de gemengde tensor die nu ontstaan is voer ik een contractie uit:
Alle indices zijn nu dummy indices en dat geeft volop ruimte om met die indices te manipuleren. Ik mag, per term, naar believen indices onderling verwisselen. Het is weer even puzzelen, maar uiteindelijk ontstaat er dit (ik werk eerst wat haakjes weg):
Nu kan ik diverse termen samennemen:
Dit ziet er al een stuk overzichtelijker uit. Door nog even verder te knutselen kan ik nog wat dingen buiten haakjes brengen, en ik verwissel ook nog enkele dummy indices:
Deze invariante grootheid die nu ontstaan is noemen we de Ricci-scalar. In al zijn verschijningsvormen ziet die er dus zo uit:
Laat je niet misleiden door de relatieve eenvoud van deze vergelijking, want al die dummy indices vereisen een sommering waardoor het aantal termen explosief toeneemt. Wanneer we uitgaan van vier dimensies, dan bestaan de eerste twee termen (vier dummy indices) stuk voor stuk uit 44 = 256 termen en de overige vijf termen (zes dummy indices) bestaan uit 46 = 4096 termen. In totaal bestaat de Ricci-scalar, indien ik die volledig uitschrijf in componenten van de metrische tensor, uit 2 × 256 + 5 × 4096 = 20992 termen!