Anti-symmetrie in de Riemann-tensor

Laat zien dat de Riemann-tensor anti-symmetrisch is in de laatste twee indices.

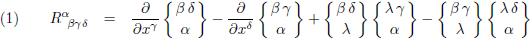
Riemann

Dit is de Riemann-tensor:


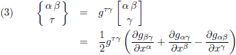
Christoffel

De Riemann-tensor volgens vergelijking (1) is gegeven in Christoffel-symbolen. De definitie van de Christoffel-symbolen van de eerste soort is:

En de definitie van de Christoffel-symbolen van de tweede soort is:
Ik ga even een klein beetje knutselen met vergelijking (1):
En zo gemakkelijk bereiken we reeds het antwoord. Door de derde index en de vierde index van de Riemann-tensor te verwisselen wisselen alle componenten van de tensor van teken. Of heel netjes gezegd: de Riemann-tensor is anti-symmetrisch in de laatste twee indices (symmetrisch betekent dat je probleemloos twee indices mag verwisselen en anti-symmetrisch betekent dat bij verwisseling van twee indices er een tekenwisseling plaatsvindt).