Vectoren, vraagstuk 24
Bereken de volgende
integraal:
Doe dit met behulp van poolcoördinaten.
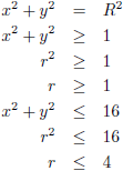
Voor G geldt:

De grafiek van f (x, y) = xy
2
Laten we eerst de functie omschrijven naar poolcoördinaten:
Als we verder bedenken dat:
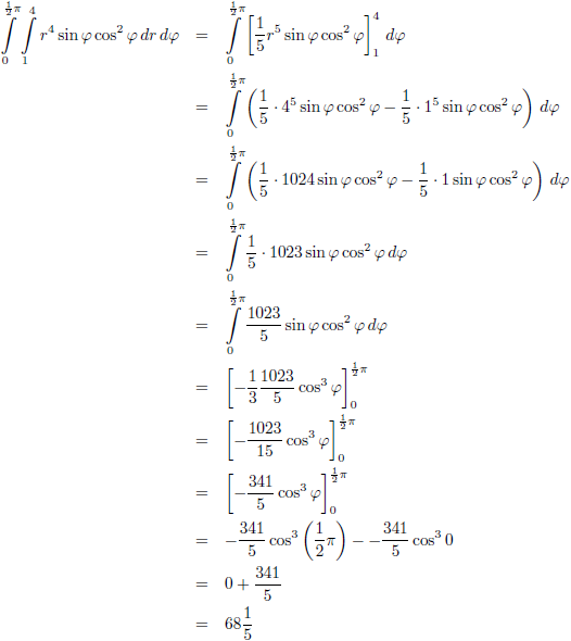
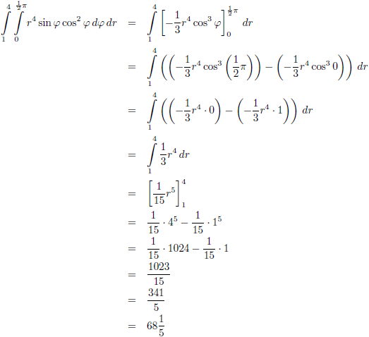
Dan verandert de
integraal in:
Het integratiegebied G is een deel van een cirkelschijf, zie dit plaatje:
In formulevorm, waarbij ik begin bij de vergelijking van een cirkel:
Oftewel:
Verder zijn x en y allebei groter dan 0, dus dit beslaat alleen het eerste kwadrant:
Waarmee we tot het resultaat komen:
De
integratiegrenzen
kunnen eventueel verwisseld worden: