Vectoren, vraagstuk 25
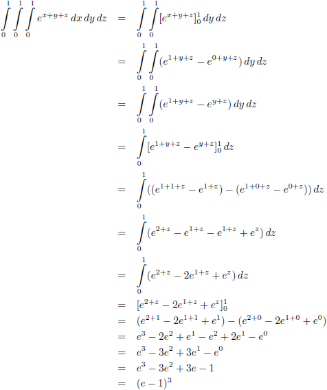
Bereken de volgende herhaalde integraal:

De grafiek van f (x, y, z) = ex + y + z voor z = 0

De grafiek van f (x, y, z) = ex + y + z voor z = 1

De grafiek van f (x, y, z) = ex + y + z voor z = 2

De grafiek van f (x, y, z) = ex + y + z voor z = 3

Door naar het volgende vraagstuk: vectoren, vraagstuk 26
Terug naar het vorige vraagstuk: vectoren, vraagstuk 24
Overzichtspagina met vraagstukken
Vraagstukken xref voor de UT
De integraal van
De integraal van
De integraal van
De integraal van
De integralen van
De integralen van
Vectoren, vraagstuk 22
Vectoren, vraagstuk 67
Vraagstukken tensoren
De Taylor-reeks van
De Taylor-reeks van
Een oneindig groot oppervlak verven
De gammafunctie
Holomorfie van de functie
Relativiteitstheorie rekenkundig, hoofdstuk 8: rekenvoorbeelden
Het tekenen van een wereldlijn
De ART-vergelijkingen in componenten van de metrische tensor
Gravitationele rood-/blauwverschuiving
Elektriciteit en magnetisme
Wat zou je doen als je niet bang was?
Getijdenkrachten
Zijn wij vroeg of laat?
De Einstein-Rosen-brug
De invaltijd van een baksteen die in een zwart gat valt
De buitenkant van een wormgat
De integraal van
De astroïde
Het waarneembare universum
Wat is een wormgat?
Overzichtspagina wiskunde
Overzichtspagina natuurkunde
Overzichtspagina filosofie
Doneer enkele euro’s
Wetenschappelijke boeken te koop
Lezingen