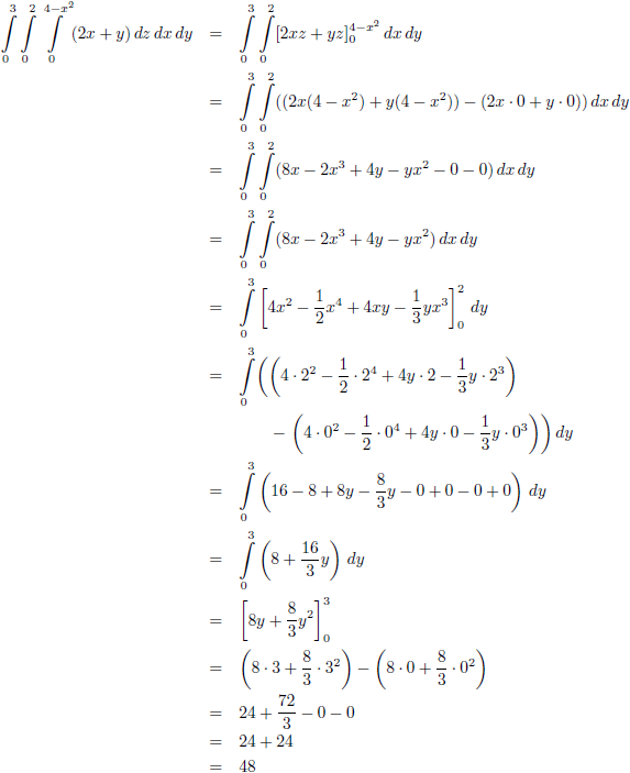
Vectoren, vraagstuk 37
Bereken:
Als gegeven is dat:

De grafiek van f (x, y, z) = 2x + y
Ik heb een plaatje gemaakt van het integratiegebied.
Het lastigste van dit soort vraagstukken is om een voorstelling te krijgen van de situatie.
Na wat geschets zul je erachter komen dat het hier gaat om een kwart cilinder, een soort tunnel,
die gevormd wordt door z = 4 − x
2 en begrensd door de vlakken x = 0 (dit klieft de cilinder in tweeën),
z = 0 (dit klieft de cilinder nogmaals in tweeën zodat een kwart cilinder overblijft),
y = 0 (de ‘onderkant’ van de cilinder) en y = 3 (de ‘bovenkant’ van de cilinder).
Wanneer dit eenmaal duidelijk is dan is het oplossen van de
integraal eigenlijk een eitje.