De integraal van
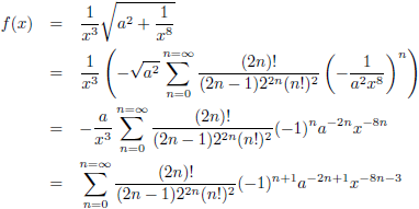
f (x) = 1/x3 (a2 + 1/x8)1/2
Trefwoorden/keywords: integraal/integral, integreren/integrate, f (x) = 1/x3 (a2 + 1/x8)1/2

De grafiek van f (x) = 1/x3 (a2 + 1/x8)1/2 voor a = 1 (de rode lijn),
a = 2 (de groene lijn) en a = 3 (de blauwe lijn)
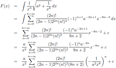
Deze functie is in deze vorm niet te integreren en daarom wenden we ons tot reeksontwikkeling. In de tabel met Taylor-reeksen vinden we:

De grafiek van F (x) voor a = 1 (de rode lijn),
a = 2 (de groene lijn) en a = 3 (de blauwe lijn), c = 0,
50 termen meegenomen, alleen het convergentiegebied is geplot

Naar de volgende integraal: de integraal van
Naar de vorige integraal: de integraal van
Tabel met integralen
Tabel met afgeleiden
Tabel met Taylor-reeksen
Differentiëren
Integreren
De integraal van
De integraal van
De integraal van
De integraal van
De integraal van
De integralen van
Gewone integralen versus contourintegralen
Vectoren, vraagstuk 29
Vectoren, vraagstuk 74
Anti-symmetrie in de Riemann-tensor
De Taylor-reeks van
De Taylor-reeksen van
Wat is groter?
Holomorfietabel van complexe functies
Holomorfie van de functie
Uitleg artikel algemene relativiteitstheorie: paragraaf 2
Het Doppler-effect
Gravitationele rood-/blauwverschuiving
Getijdenkrachten
Zijn wij vroeg of laat?
De Einstein-Rosen-brug
De invaltijd van een baksteen die in een zwart gat valt
De buitenkant van een wormgat
De integraal van
De astroïde
Het waarneembare universum
Wat is een wormgat?
Overzichtspagina wiskunde
Overzichtspagina natuurkunde
Overzichtspagina filosofie
Doneer enkele euro’s
Wetenschappelijke boeken te koop
Lezingen