De energie-inhoud van het elektrische veld
Bereken de energie-inhoud van het elektrische veld.
Ga uit van een vacuüm omgeving.

Het elektrische veld van een negatieve
bolsymmetrische lading
Een elektrische lading wekt een elektrisch veld op:
Dit kan ik ook iets anders opschrijven als volgt:
Die 4πr
2 is het oppervlak A van een denkbeeldige bol die de lading q omsluit
(en waar de veldlijnen dus loodrecht doorheen gaan).
Om die reden kan ik ook schrijven:
En door A naar de andere kant te halen krijg ik:
Vergelijking (4) is niets anders dan de stelling van Gauss
die we hier aan het werk zien.
Stel dat ik twee vlakke platen heb, ieder met een oppervlak gelijk aan A en een afstand d van elkaar verwijderd, waarbij de ene plaat een
lading +q heeft en de andere plaat een lading −q heeft, oftewel een
condensator:

Een condensator
En er bevindt zich uiteraard een elektrisch veld tussen beide platen:
Hier kunnen we natuurlijk ook de
stelling van Gauss op loslaten.
Ik omsluit één plaat met een virtueel paars doosje (het omsluitende oppervlak uit de
stelling van Gauss):
Links, rechts en onder gaan er geen veldlijnen door het paarse doosje dus daar zijn we snel mee klaar.
De randeffecten van de condensator verwaarloos ik (ook al zijn er in het plaatje wel een paar kromme veldlijnen getekend aan de
randen van de condensator), dus het veld is volledig homogeen, en zo vind ik heel gemakkelijk dat ook hier geldt:
Waarin A het oppervlak is waar de veldlijnen (loodrecht) doorheen gaan, en dat is tevens het oppervlak van één condensatorplaat, en q
is alle lading op één plaat.
Ik had natuurlijk mijn ‘paarse doosje’ ook slechts een deel van de condensatorplaat kunnen laten omvatten:
Met het deels omvatten van de condensatorplaat omvat ik ook deels de elektrische lading op die plaat en kom ik
uiteindelijk tot exact hetzelfde resultaat, maar dan is duidelijker dat ik echt wel reken met een homogeen veld.
Stel nu dat ik elektronen uit de ene plaat ga lospulken en die naar de andere plaat breng waar al een overschot aan elektronen is.
Dan moet ik arbeid verrichten want die elektronen zullen afgestoten worden door de reeds aanwezige elektronen op de andere
plaat (gelijksoortige ladingen stoten elkaar af).
Per elektron moet ik een beetje kracht dF gebruiken om de afstand d te overbruggen en dat kost mij een beetje arbeid dW:
Hierin is F de
elektrische kracht waarvoor geldt:
Ik neem de
differentiaal:
En omdat we te maken hebben met een homogeen veld is E constant en wordt vergelijking (8):
Het elektrische veld E kan ik invullen vanuit vergelijking (5):
En dit ga ik invullen in (6):
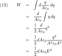
Door deze vergelijking te
integreren vind ik de totale arbeid:
Deze verrichte arbeid wordt als energie toegevoegd aan het veld (of onttrokken aan het veld indien de elektrische lading de andere kant op zou bewegen).
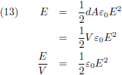
Indien ik de energie-inhoud van het veld wil weten per volume-eenheid (en dat wil ik),
dan moet ik nog delen door het volume tussen de platen zijnde V = dA:
Vergelijking (13) geeft de energie-inhoud per volume-eenheid van het elektrische veld.
En het is een beetje verwarrend, maar de E in het linkerlid staat voor energie en de E in het rechterlid staat voor het elektrische veld.