De integraal van
f (x) = 1/(x3 (ax + b)1/2)
Trefwoorden/keywords: integraal/integral, integreren/integrate, f (x) = 1/(x3 (ax + b)1/2)

De grafiek van f (x) = 1/(x
3 (ax + b)
1/2) voor a = 1 (de rode lijn),
a = 2 (de groene lijn) en a = 3 (de blauwe lijn), b = 5
Voor het
integreren van deze functie maak ik gebruik van
goniometrische substitutie door tangens of cotangens:
De
integraal wordt dan:
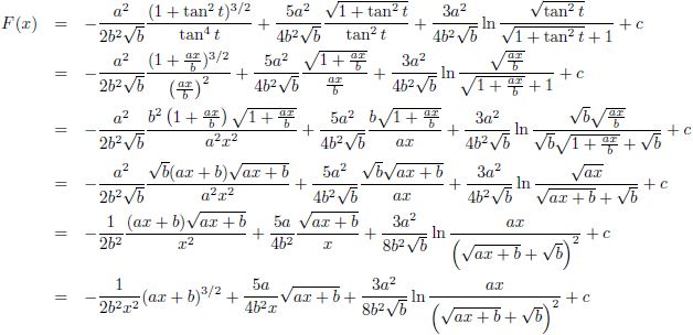
De oplossing van de
integraal
van 1/sin
5 x kun je elders vinden in de
tabel met integralen,
de oplossing van de
integraal
van 1/sin
3 x kun je vinden in de
tabel met integralen
en de oplossing van de
integraal
van 1/sin x kun je ook vinden in de
tabel met integralen.
Dat brengt ons bij dit tussenresultaat:
De
sinus en de
cosinus kan ik schrijven als een
functie van de tangens:
Hiermee kan ik de hierboven gevonden
primitieve functie ook als volgt opschrijven:
Nu moet t uiteraard weer vervangen worden door x:
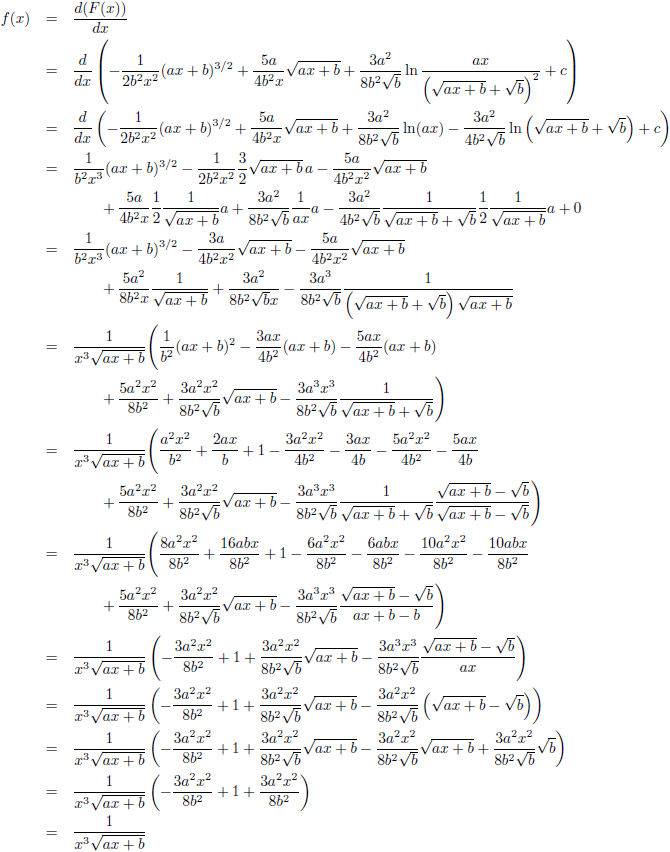
Ter controle ga ik het resultaat
differentiëren:
Nu moet er nog wel iets gebeuren want de
logaritme van een negatief getal kan niet.
De oplossing is simpel, ik neem de
absolute waarde:
Tot slot wil ik nog opmerken dat je de
area cosecans hyperbolicus
kunt
omschrijven naar een
natuurlijke logaritme,
en vice versa, als volgt:
De oplossing van deze
integraal
kan ik daarom ook als volgt opschrijven:

De grafiek van F (x) voor a = 1 (de rode lijn),
a = 2 (de groene lijn) en a = 3 (de blauwe lijn), b = 5, c = 0