De integralen van
f (x) = xn ln (a + x)
Trefwoorden/keywords: integraal/integral, integreren/integrate, f (x) = xn ln (a + x)

De grafiek van f (x) = ln (1 + x) (de rode lijn), f (x) = x ln (1 + x) (de oranje lijn),
f (x) = x2 ln (1 + x) (de groene lijn), f (x) = x3 ln (1 + x) (de paarse lijn),
f (x) = x4 ln (1 + x) (de blauwe lijn) en f (x) = x5 ln (1 + x) (de grijze lijn)
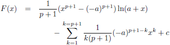
Integrand![]() |
Primitieve | ||
![]() |
![]() ![]() |
![]() ![]() |
Toon uitwerking |
![]() |
![]() ![]() |
![]() ![]() |
Toon uitwerking |
![]() |
![]() ![]() |
![]() ![]() |
Toon uitwerking |
![]() |
![]() ![]() |
![]() ![]() |
Toon uitwerking |
![]() |
![]() |
![]() |
|
![]() |
![]() ![]() |
![]() ![]() |
Toon uitwerking |



























Naar de volgende tabel: de integralen van
Naar de vorige tabel: de integralen van
Tabel met integralen
Differentiëren
Integreren
De integraal van
De integraal van
De integraal van
De integraal van
De integralen van
De integralen van
Vectoren, vraagstuk 5
Vectoren, vraagstuk 50
Vectoren, vraagstuk 95
Taylor-reeksen
De Taylor-reeks van
Een reeks afsplitsen van
Het getal pi
Holomorfie van de functie
Relativiteitstheorie basic
Uitleg artikel algemene relativiteitstheorie: paragraaf 21
Een ruimteschip, een kapitein, een klok en een knappe vrouw
Het explosieve einde van een zwart gat
Precessie en het platonisch jaar
Gravitationele rood-/blauwverschuiving
Getijdenkrachten
Zijn wij vroeg of laat?
De Einstein-Rosen-brug
De invaltijd van een baksteen die in een zwart gat valt
De buitenkant van een wormgat
De integraal van
De astroïde
Het waarneembare universum
Wat is een wormgat?
Overzichtspagina wiskunde
Overzichtspagina natuurkunde
Overzichtspagina filosofie
Doneer enkele euro’s
Wetenschappelijke boeken te koop
Lezingen