De Taylor-reeksen van
f (x) = 1/(a ± x2)1/2
Trefwoorden/keywords: Taylor-reeks/Taylor series, f (x) = 1/(a ± x2)1/2

De grafiek van f (x) = 1/(1 + x2)1/2 (de rode lijn), f (x) = 1/(1 − x2)1/2 (de oranje lijn),
f (x) = 1/(2 + x2)1/2 (de groene lijn), f (x) = 1/(2 − x2)1/2 (de paarse lijn)
en f (x) = 1/(3 + x2)1/2 (de blauwe lijn)
| Functie | Taylor-reeks | ||
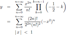
| 1 | ![]() ![]() |
![]() ![]() |
Toon uitwerking |
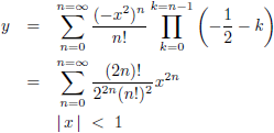
| 2 | ![]() ![]() |
![]() ![]() |
Toon uitwerking |
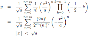
| 3 | ![]() ![]() |
![]() ![]() |
Toon uitwerking |
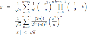
| 4 | ![]() ![]() |
![]() ![]() |
Toon uitwerking |
| 5 | ![]() ![]() |
![]() ![]() |
Toon uitwerking |
| 6 | ![]() ![]() |
![]() ![]() |
Toon uitwerking |
























Naar de volgende tabel: de Taylor-reeksen van
Naar de vorige tabel: de Taylor-reeksen van
Tabel met Taylor-reeksen
Tabel met integralen
Tabel met afgeleiden
Differentiëren
De afgeleide van
De integraal van
De integraal van
De integraal van
De integraal van
De integraal van
De integraal van
De integraal van
De integralen van
De integralen van
Inwendig product, uitwendig product en dyadisch product
Vectoren, vraagstuk 42
Vectoren, vraagstuk 87
De Taylor-reeks van
De convergentie van een reeks
De stelling van Green
Holomorfie van de functie
De integraal van
De Witte Dag
De integraal van
De cycloïde
De minimale straal van een holle bol
Een planeettijdreismachine
De integralen van
Gravitationele rood-/blauwverschuiving
Getijdenkrachten
Zijn wij vroeg of laat?
Overzichtspagina wiskunde
Overzichtspagina natuurkunde
Overzichtspagina filosofie
Doneer enkele euro’s
Wetenschappelijke boeken te koop
Lezingen