Holomorfie van de functie
f (z) = z

De grafiek van f (z)

De grafiek van |f (z)|



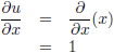
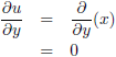
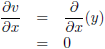
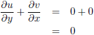
De Cauchy-Riemann-vergelijkingen luiden:


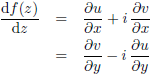
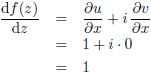
De grafiek van df (z)/dz

De grafiek van |df (z)/dz|





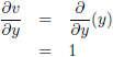
De Cauchy-Riemann-vergelijkingen luiden:




