Vectoren, vraagstuk 80
Bereken de volgende
integraal:
Als het vectorveld is:
En S is het oppervlak met de vergelijking:
Met (x, y) binnen de eenheidscirkel met de oorsprong als middelpunt.
S is georiënteerd volgens de naar buiten/beneden gerichte normaal.

Het vectorveld
F

De grafiek van z = x
2 + y
2
Dit plaatje is waarschijnlijk duidelijker:

De grafiek van z = x
2 + y
2
Ik ga eerst op zoek naar een parametrisering van S.
Hiervoor is de simpelste aanpak ook de juiste door te stellen dat:
Waaruit volgt:
Dit geeft de volgende parametrisering voor S:
Tevens kan ik hiermee het vectorveld schrijven als:
Vervolgens bepaal ik de
partiële afgeleiden van S:
Via het
uitwendig product
kan ik hiermee
dA berekenen:
Omdat de normaalvector naar buiten/beneden gericht moet zijn (z-component < 0) dien ik
dA met −1
te vermenigvuldigen:
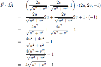
Het
inwendig product
F ∙
dA wordt dan:
Dit ziet er door die
wortel
niet bepaald aantrekkelijk uit om te gaan
integreren.
Ik weet dat het oppervlak S een cirkel is:
Hiervan neemt de straal toe met z:
En dit is een parabool.
We hebben te maken met een parabool die zich om de z-as wentelt: een paraboloïde.
Dit nodigt uit om over te gaan op cilindercoördinaten, dan geldt:
Uit het voorgaande kunnen we dan aflezen:
Het
inwendig product
F ∙
dA verandert daarmee in:
De grens van S is de eenheidscirkel, waaruit volgt:
En een volledige wenteling om de z-as betekent:
Verder dien ik nog te bedenken dat de overgang naar cilindercoördinaten een extra r oplevert:
Daarmee wordt de
integraal:
Toch blijf ik dan altijd nieuwsgierig hoe het gelopen zou zijn indien ik niet overgegaan was naar
cilindercoördinaten.
We gaan het gewoon eens proberen,
ik
integreer eerst naar u en dan naar v.
De
integratiegrenzen zijn dan:
Dan wordt de
integraal:
De oplossing van de
integraal
van (a
2 + x
2)
1/2 kun je vinden in de
tabel met integralen.
Dat was de eerste stap, en nu het tweede deel:
De oplossing van de
integraal
van x
2 ln (a + (a
2 − x
2)
1/2) kun je vinden in de
tabel met integralen
en de oplossing van de
integraal
van x
2 ln (a − (a
2 − x
2)
1/2) kun je ook vinden in de
tabel met integralen.
Het klopt (uiteraard), maar de cilindercoördinaten werken toch een stuk prettiger!
Dus hoe was het gegaan als ik direct aan het begin overgegaan was naar cilindercoördinaten?
Dan komt de parametrisering van S als volgt tot stand:
Hiermee kan ik het vectorveld schrijven als:
Vervolgens bepaal ik de
partiële afgeleiden van S:
Via het
uitwendig product
kan ik hiermee
dA berekenen:
Omdat de normaalvector naar buiten/beneden gericht moet zijn (z-component < 0) dien ik
dA met −1
te vermenigvuldigen:
Het
inwendig product
F ∙
dA wordt dan:
De
integraal wordt dan:
Ik ben nu op drie manieren tot hetzelfde antwoord gekomen:
- Beginnen in Cartesische coördinaten en vlak voor het
integreren overgaan naar cilindercoördinaten.
- Beginnen in Cartesische coördinaten en dat stug volhouden tot en met het
integreren.
- Direct aan het begin overgaan naar cilindercoördinaten.