De snelheid van een meertrapsraket
Een meertrapsraket wordt gelanceerd.
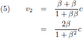
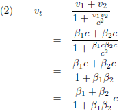
Wanneer de eerste trap is uitgebrand heeft de raket een snelheid v.
De eerste trap wordt afgestoten en de tweede trap wordt ontstoken.
Wanneer de tweede trap is uitgebrand heeft de raket een snelheid v ten opzichte van de eerste trap.
Vervolgens wordt de tweede trap afgestoten en de derde trap wordt ontstoken.
Na de derde trap komt de vierde trap en zo blijft dit proces zich herhalen.
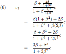
Wat is de snelheid van de raket ten opzichte van de lanceerplaats wanneer de tweede trap is uitgebrand?
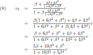
En wanneer de derde trap is uitgebrand?
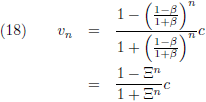
En wat is de snelheid na n trappen?
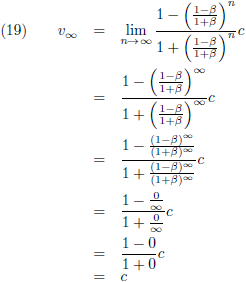
Wat wordt de uiteindelijke snelheid van de raket?
Om te beginnen introduceer ik β.
Dit is de relatieve snelheid ten opzichte van de lichtsnelheid en tevens de snelheid die iedere rakettrap genereert
ten opzichte van de vorige rakettrap:

Twee seconden nadat het commando is gegeven om de boosters van
de Space Shuttle af te werpen is deze opname gemaakt, de kamera is
op de ene booster gemonteerd, de andere booster is links zichtbaar
(Credits: NASA)

Vanaf de grond gezien ziet het er dan zo uit
(Credits: NASA)

En een tiental seconden later is dit de situatie, een prachtig uitzicht
op de Space Shuttle met de tank met vloeibare brandstof
(Credits: NASA)
Voor de start heeft de raket uiteraard een snelheid nul ten opzichte van de lanceerplaats:
| β0 | β1 | β2 | β3 | β4 | β5 | |
| v0 | 1 | 0 | 0 | 0 | 0 | 0 |
| v1 | 1 | 1 | 0 | 0 | 0 | 0 |
| v2 | 1 | 2 | 1 | 0 | 0 | 0 |
| v3 | 1 | 3 | 3 | 1 | 0 | 0 |
| v4 | 1 | 4 | 6 | 4 | 1 | 0 |
| v5 | 1 | 5 | 10 | 10 | 5 | 1 |
| Tabel 1 | ||||||
| β0 | β1 | β2 | β3 | β4 | β5 | β6 | β7 | β8 | β9 | β10 | |
| v0 | 1 | 0 | 0 | 0 | 0 | 0 | 0 | 0 | 0 | 0 | 0 |
| v1 | 1 | 1 | 0 | 0 | 0 | 0 | 0 | 0 | 0 | 0 | 0 |
| v2 | 1 | 2 | 1 | 0 | 0 | 0 | 0 | 0 | 0 | 0 | 0 |
| v3 | 1 | 3 | 3 | 1 | 0 | 0 | 0 | 0 | 0 | 0 | 0 |
| v4 | 1 | 4 | 6 | 4 | 1 | 0 | 0 | 0 | 0 | 0 | 0 |
| v5 | 1 | 5 | 10 | 10 | 5 | 1 | 0 | 0 | 0 | 0 | 0 |
| v6 | 1 | 6 | 15 | 20 | 15 | 6 | 1 | 0 | 0 | 0 | 0 |
| v7 | 1 | 7 | 21 | 35 | 35 | 21 | 7 | 1 | 0 | 0 | 0 |
| v8 | 1 | 8 | 28 | 56 | 70 | 56 | 28 | 8 | 1 | 0 | 0 |
| v9 | 1 | 9 | 36 | 84 | 126 | 126 | 84 | 36 | 9 | 1 | 0 |
| v10 | 1 | 10 | 45 | 120 | 210 | 252 | 210 | 120 | 45 | 10 | 1 |
| Tabel 2 | |||||||||||
| β = 0.000001 | |
| v1 | 0.000000100000000 c |
| v2 | 0.000000200000000 c |
| v3 | 0.000000300000000 c |
| v4 | 0.000000400000000 c |
| v5 | 0.000000500000000 c |
| v6 | 0.000000600000000 c |
| v7 | 0.000000700000000 c |
| v8 | 0.000000800000000 c |
| v9 | 0.000000900000000 c |
| v10 | 0.000001000000000 c |
| Tabel 3 | |
| β = 0.1 | |
| v1 | 0.100000000000000 c |
| v2 | 0.198019801980198 c |
| v3 | 0.292233009708738 c |
| v4 | 0.381096123007263 c |
| v5 | 0.463434802362562 c |
| v6 | 0.538479775527768 c |
| v7 | 0.605855672855616 c |
| v8 | 0.665533922606704 c |
| v9 | 0.717764275245588 c |
| v10 | 0.762998937319742 c |
| Tabel 4 | |
| β = 0.5 | |
| v1 | 0.500000000000000 c |
| v2 | 0.800000000000000 c |
| v3 | 0.928571428571429 c |
| v4 | 0.975609756097561 c |
| v5 | 0.991803278688525 c |
| v6 | 0.997260273972603 c |
| v7 | 0.999085923217550 c |
| v8 | 0.999695214873514 c |
| v9 | 0.999898394635237 c |
| v10 | 0.999966130397968 c |
| Tabel 5 | |
| β = 0.9 | |
| v1 | 0.900000000000000 c |
| v2 | 0.994475138121547 c |
| v3 | 0.999708454810496 c |
| v4 | 0.999984653396971 c |
| v5 | 0.999999192278179 c |
| v6 | 0.999999957488309 c |
| v7 | 0.999999997762543 c |
| v8 | 0.999999999882239 c |
| v9 | 0.999999999993802 c |
| v10 | 0.999999999999674 c |
| Tabel 6 | |
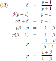
We kunnen doen wat we willen, maar uiteindelijk zullen we nooit de lichtsnelheid bereiken. Ook al zou iedere trap op de een of andere wonderbaarlijke manier een voortstuwing geven van β = 0.999999 c, dan nog zou het eindresultaat na heel veel trappen een fractie onder de lichtsnelheid blijven. Weliswaar zien we dat wel in na al het voorgaande gereken, maar dit is daarom nog geen waterdicht wiskundig bewijs. Is er een manier om dit anders aan te pakken? Tijdens de uitleg van paragraaf 4 van het artikel van Einstein over de algemene relativiteitstheorie kwam ik op een gegeven moment met deze vergelijking:

Dus ook deze opgevoerde Space Shuttle gaat zelfs niet in de buurt komen van de lichtsnelheid


Door naar het volgende vraagstuk: een raket, een tunnel en twee kanonnen
Terug naar het vorige vraagstuk: de ontsnappingssnelheid
Overzichtspagina met vraagstukken
Overzichtspagina relativiteitstheorie
De integraal van
De integraal van
De integraal van
De integraal van
De integralen van
Vectoren
Vectoren, vraagstuk 35
Vectoren, vraagstuk 80
Hoe vormt zich de Ricci-tensor?
De Taylor-reeks van
De Taylor-reeksen van
De stelling van Green
Definities en eigenschappen van complexe getallen
Holomorfie van de functie
Uitleg artikel algemene relativiteitstheorie: inleiding
Afleiding van E = mc2
De Ricci-scalar van de Schwarzschild-metriek
Astronomie
Vraagstukken elektriciteit en magnetisme
De illusies die wij leven
De integraal van
De Witte Dag
De integraal van
De cycloïde
De minimale straal van een holle bol
Een planeettijdreismachine
De integralen van
Gravitationele rood-/blauwverschuiving
Getijdenkrachten
Zijn wij vroeg of laat?
Overzichtspagina wiskunde
Overzichtspagina natuurkunde
Overzichtspagina filosofie
Doneer enkele euro’s
Wetenschappelijke boeken te koop
Lezingen