De ontsnappingssnelheid
De zwaartekracht (gravitatie) die twee lichamen op elkaar uitoefenen wordt gegeven door een wet van Newton:

Lancering van een Saturnus raket, bedenk dat de raket ruim honderd
meter lang is en de vlammen zich dus bijna een kilometer uitstrekken!
(Credits: NASA)
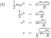
En zo hebben we de formule voor de ontsnappingssnelheid gevonden. Wanneer we de gegevens van de Aarde invullen dan volgt hieruit v = 11.2 km/s, ruim veertigduizend km/uur!
Om ons zonnestelsel te kunnen verlaten moet de zwaartekracht van de Zon overwonnen worden. Nu is het zaak om de gegevens van de Zon in te vullen. Hieruit volgt v = 618 km/s, meer dan twee miljoen km/uur! Het goede nieuws is dat we niet vertrekken vanaf het oppervlak van de Zon, maar vanaf de Aarde. En de Aarde staat op 150 miljoen kilometer van de Zon, dus dat helpt flink. Als we dan de benodigde snelheid uitrekenen volgt v = 42 km/s. En er is nog meer goed nieuws, de Aarde draait met een snelheid van bijna 30 km/s om de Zon. Door hier handig gebruik van te maken en slim te manoeuvreren langs de andere planeten zijn we echt wel in staat om met onze huidige ‘primitieve’ technieken ons zonnestelsel te verlaten.
Om nog meer gevoel te krijgen voor de ontsnappingssnelheden van diverse hemellichamen zie onderstaande tabel.| Gerangschikt naar oplopende waarden van de ontsnappingssnelheid | |
| Hemellichaam | Ontsnappingssnelheid [km/s] |
![]() Baksteen | ≈ 0.00000005 |
![]() Rotsblok van 100 kg, (diameter = 1 meter) | ≈ 0.0000002 |
![]() Pluto | 1.21 |
![]() Maan | 2.38 |
![]() Mercurius | 4.25 |
![]() Mars | 5.02 |
![]() Venus | 10.4 |
![]() Aarde | 11.2 |
![]() Uranus | 21.3 |
![]() Neptunus | 23.4 |
![]() Saturnus | 35.5 |
![]() Jupiter | 59.5 |
![]() Canis Majoris | ≈ 68 |
![]() Betelgeuse | ≈ 95 |
![]() Aldebaran | ≈ 99 |
![]() Zon | 618 |
![]() Andromeda | ≈ 750 |
![]() Witte dwerg | ≈ 6500 |
![]() Neutronenster | ≈ 200000 |
![]() Zwart gat | 299792 |
| (Credits voor de foto’s van de hemellichamen: NASA) | |
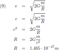
Als ik hierin de massa van de Zon invul voor m dan volgt daaruit een R van iets minder dan 3 km. Nadat Einstein in 1915 zijn algemene relativiteitstheorie had voltooid lukte het Karl Schwarzschild nog datzelfde jaar om een oplossing te vinden voor de vergelijkingen van Einstein. Uit zijn oplossing kwam duidelijk naar voren dat indien een lichaam een straal heeft waarvoor bovenstaande relatie geldt, dat er dan ‘rare dingen gebeuren’ (een noemer van zijn oplossing wordt gelijk aan nul). Tegenwoordig staat dit bekend als de Schwarzschild-straal en de ‘rare dingen’ zijn nu wereldberoemd als zwarte gaten.

De brief die Schwarzschild aan Einstein stuurde
| Vertaling van de brief van Schwarzschild | |
![]() |
![]() |
|
22.XII.15. Verehrter Herr Einstein! XXXUm mit Ihrer Gravitationstheorie vertraut zu werden, habe ich mich näher mit dem von Ihnen in der Arbeit über das Merkurperihel gestellte und in 1. Näherung gelöste Problem beschäftigt. Zunächst machte mich ein Umstand sehr konfus. Ich fand für die erste Näherung der Koeffizienten gμν auβer ihrer Lösung noch folgende zweite:
XXXSei: ![]()
XXXDie Gleichung der Bahnkurve bleibt genau die von Ihnen in erster Näherung erhaltene (11), nur muβ man unter x nicht 1/r, sondern 1/R verstehen, was ein Unterschied von der Ordnung 10−12 ist, also praktisch absolut gleichgültig. XXXDie Schwerigkeit mit den zwei willkürlichen Konstanten α und β, welche die erste Näherung gab, löst sich dahin, daβ β einen bestimmten Wert von der Ordnung α4 haben muβ, so wie α gegeben ist, sonst würde die Lösung bei Fortsetzung der Näherungen divergent. XXXEs ist also auch die Eindeutigkeit Ihres Problems in schönster Ordnung. XXXEs ist eine ganz wunderbare Sache, daβ von einer so abstrakten Idee aus die Erklärung der Merkur-anomalie so zwingend herauskommt. XXXWie Sie sehen, meint es der Krieg freundlich mit mir, indem er mir trotz heftigen Geschützfeuers in der durchaus terrestrischer Entfernung diesen Spaziergang in dem von Ihrem Ideenlande erlaubte. |
22.XII.15. Geachte heer Einstein! XXXOm met uw gravitatietheorie vertrouwd te raken, heb ik mij nader bezig gehouden met datgene wat u stelt in uw werk over het Mercuriusperihelium en het in eerste benadering opgeloste probleem. Aanvankelijk bracht één aspect mij zeer in verwarring. Ik vond voor de eerste benadering van de coëfficiënten gμν behalve uw oplossing nog de volgende tweede:
XXXDoor te stellen: ![]()
XXXDe vergelijking van de baankromme blijft precies zoals de door u in eerste benadering gevonden (11), alleen moet men voor x niet 1/r maar 1/R lezen, hetgeen een verschil in de orde van grootte van 10−12 is, dus praktisch absoluut verwaarloosbaar. XXXHet probleem met de twee willekeurige constanten α en β, die uit de eerste benadering volgden, lost zich als volgt op, dat β een bepaalde waarde van de orde α4 moet hebben, zodra α bekend is, omdat anders de oplossing bij volgende benaderingen divergent zou worden. XXXAldus is ook de eenduidigheid van uw probleem helemaal in orde. XXXHet is een bijzonder wonderbaarlijk iets, dat vanuit een zo abstract idee de verklaring van de Mercurius-afwijking zo dwingend naar voren komt. XXXZoals u ziet, is de oorlog mij goedgezind, aangezien hij het mij toestond om ondanks het hevige kanongebulder in de verte een wandeling te maken in uw ideeënlandschap. |



























Door naar het volgende vraagstuk: de snelheid van een meertrapsraket
Terug naar het vorige vraagstuk: relativistische slakken
Overzichtspagina met vraagstukken
Overzichtspagina relativiteitstheorie
De integraal van
De integraal van
De integraal van
De integraal van
De integralen van
De integralen van
Vectoren, vraagstuk 5
Vectoren, vraagstuk 50
Vectoren, vraagstuk 95
Taylor-reeksen
De Taylor-reeks van
Een reeks afsplitsen van
De faculteitsfunctie
Holomorfie van de functie
Integreren van complexe functies
Uitleg artikel algemene relativiteitstheorie: paragraaf 14
Het equivalentieprincipe
De versnelling van een baksteen die in een zwart gat valt
De wetten van Kepler met verwaarloosbare secundaire massa
Het elektrische veld van een lange geladen geleider
De integraal van
De Witte Dag
De integraal van
De cycloïde
De minimale straal van een holle bol
Een planeettijdreismachine
De integralen van
Gravitationele rood-/blauwverschuiving
Getijdenkrachten
Zijn wij vroeg of laat?
Overzichtspagina wiskunde
Overzichtspagina natuurkunde
Overzichtspagina filosofie
Doneer enkele euro’s
Wetenschappelijke boeken te koop
Lezingen