Kinetische energie
Bereken de kinetische energie van een voorwerp.
Je verricht (een klein beetje) arbeid dW wanneer je een kracht
F uitoefent op een voorwerp en vervolgens
dat voorwerp daarmee een klein stukje
ds verplaatst:
Kracht en verplaatsing zijn allebei
vectorgrootheden
en ik heb het als
inwendig product geschreven, omdat het
gaat om de component van de kracht in de richting van de verplaatsing.
Wanneer we er even vanuit gaan dat de gehele kracht in de richting van de verplaatsing werkt dan kan ik de
vectoraanduidingen weglaten:
Wil ik de verrichte arbeid weten over het gehele traject dan moet ik
integreren:
Zoals Newton lang geleden haarfijn heeft bedacht is kracht gelijk aan impulsverandering in de tijd:
En impuls is het product van massa en snelheid:
Laten we eerst even klassiek kijken, dan is massa simpelweg massa:
Met al deze informatie kan ik vergelijking (3) als volgt schrijven en uitwerken:
Laten we aannemen dat het voorwerp aanvankelijk in rust was, dus de beginsnelheid was nul, en een eindsnelheid
gelijk aan v krijgt.
Dan is de verrichte arbeid:
Deze uitgeoefende arbeid wordt door het voorwerp ‘geabsorbeerd’ als bewegingsenergie en dat noemen we dan heel
netjes “kinetische energie”:
Relativistisch bekeken liggen de zaken iets gecompliceerder en geldt voor de massa
(zie voor de afleiding
deze pagina):
Met deze nieuwe informatie kan ik vergelijking (3) als volgt schrijven en uitwerken:
Ik zoek de
integraal op in de
tabel met integralen, en ik neem weer aan
dat het voorwerp aanvankelijk in rust was en een eindsnelheid gelijk aan v krijgt:
De kinetische energie van het voorwerp is wederom gelijk aan deze geïnvesteerde arbeid:
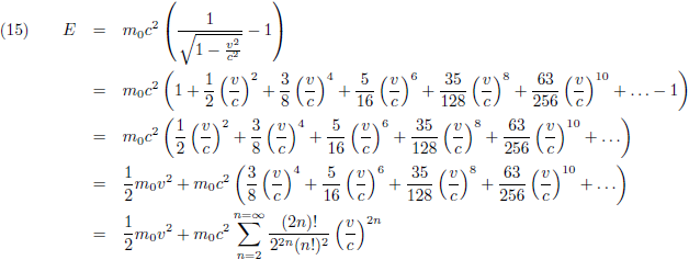
Het is interessant om dit te ontwikkelen in een
Taylor-reeks.
In de
tabel met Taylor-reeksen vinden we:
Hiermee kan ik vergelijking (13) ook schrijven als:
Hieruit blijkt duidelijk dat het klassieke begrip van kinetische energie slechts een eerste orde benadering is,
de linkerterm, van de relativistische werkelijkheid.

Kinetische energie als functie van v/c voor m
0 = 1 kg,
klassiek (de rode lijn) en relativistisch (de groene lijn)