Vectoren, vraagstuk 81
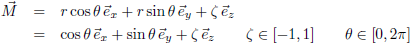
Gegeven het vectorveld:
Bereken de naar buiten gerichte flux van v door de wand van de rechte cilinder met straal 1 en de z-as
als as, inclusief de bodem op hoogte z = −1 en deksel op hoogte z = 1.
- Rechtstreeks, dat wil zeggen door drie afzonderlijke flux-integralen te berekenen.
- Met de stelling van Gauss.

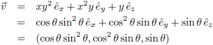
Het vectorveld v
-
Rechtstreeks, dat wil zeggen door drie afzonderlijke
flux-integralen te berekenen.
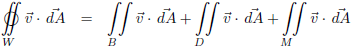
De flux door de wand (W) van de cilinder is de som van de fluxen door de bodem (B), het deksel (D) en de mantel (M):Omdat we te maken hebben met een cilinder ligt het voor de hand om over te gaan op cilindercoördinaten. Dan geldt:
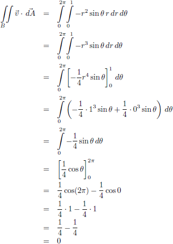
Voor de bodem geldt een constante z = −1 en een straal r die varieert van 0 tot 1:

Dat levert de volgende parametrisering op voor de bodem:
Voor het deksel geldt hetzelfde, behalve dat nu z = 1:
Dat levert de volgende parametrisering op voor het deksel:
Voor de mantel geldt juist een constante r = 1 en varieert z:
Dat levert de volgende parametrisering op voor de mantel:
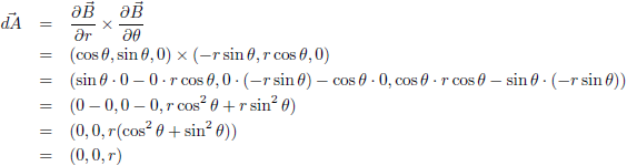
Nu bepaal ik eerst de partiële afgeleiden van B:
Via het uitwendig product kan ik hiermee dA berekenen:
De z-component van dA is altijd groter dan nul en wijst dus naar boven, de cilinder in, en niet naar buiten wat de bedoeling is. Ik had het uitwendig product dus omgekeerd moeten uitvoeren en dat corrigeer ik nu door dA met −1 te vermenigvuldigen:
Uit de parametrisering van B kan ik x, y en z aflezen en daarmee het vectorveld schrijven als:
Het inwendig product v ∙ dA wordt dan:
Verder dien ik nog te bedenken dat de overgang naar cilindercoördinaten een extra r oplevert:
Daarmee wordt de integraal:
Deze procedure ga ik ook doorlopen voor het deksel, ik begin weer met de partiële afgeleiden:
Dit levert dezelfde uitkomst op als bij de bodem. Dat betekent dat ik ook dezelfde dA ga vinden (afgezien van een minteken) en uiteindelijk dezelfde integraal:
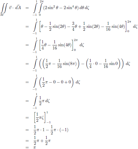
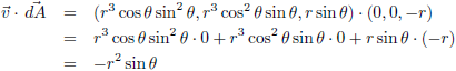
Dan resteert nog de mantel, eerst bepaal ik weer de partiële afgeleiden:
Via het uitwendig product kan ik wederom dA berekenen:
Ik heb weer niet goed opgelet want deze vector wijst naar binnen en ik had dus het uitwendig product ook hier omgekeerd moeten uitvoeren. Ik corrigeer door dA met −1 te vermenigvuldigen:
Uit de parametrisering van M kan ik x, y en z aflezen en daarmee het vectorveld schrijven als:
Het inwendig product v ∙ dA wordt dan:
Daarmee wordt de integraal:
De oplossing van de integraal van sin2 x kun je vinden in de tabel met integralen en de oplossing van de integraal van sin4 x kun je ook vinden in de tabel met integralen.
Nu kunnen we terugkeren naar ons oorspronkelijke probleem en de uitkomst opschrijven:
-
Met de stelling van Gauss.
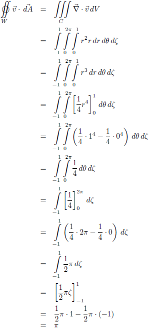
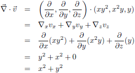
Volgens meneer Gauss geldt ook voor deze cilinder (C) de stelling van Gauss:
kennen we als volgt:
Dan wordt het inwendig product
∙ v:
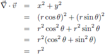
Dit ga ik omschrijven naar cilindercoördinaten als volgt:
In cilindercoördinaten geldt voor een volumestukje dV:
De grenzen van de cilinder zijn:
De uitwerking van de integraal wordt dan:


Door naar het volgende vraagstuk: vectoren, vraagstuk 82
Terug naar het vorige vraagstuk: vectoren, vraagstuk 80
Overzichtspagina met vraagstukken
Vraagstukken xref voor de UT
De integraal van
De integraal van
De integraal van
De integraal van
De integralen van
De integralen van
Vectoren, vraagstuk 6
Vectoren, vraagstuk 51
Covariante - en contravariante componenten van een vector
Taylor-reeksen
De Taylor-reeks van
Een reeks afsplitsen van
Het getal e
Holomorfie van de functie
Relativiteitstheorie basic, hoofdstuk 1: snelheden
Uitleg artikel algemene relativiteitstheorie: paragraaf 22
De relativistische rotatie-energie van een holle bol
Het spectrum van een zwart gat
De omtrek van een planeetbaan
Is er voldoende zonne-energie voor de mensheid?
Gravitationele rood-/blauwverschuiving
Getijdenkrachten
Zijn wij vroeg of laat?
De Einstein-Rosen-brug
De invaltijd van een baksteen die in een zwart gat valt
De buitenkant van een wormgat
De integraal van
De astroïde
Het waarneembare universum
Wat is een wormgat?
Overzichtspagina wiskunde
Overzichtspagina natuurkunde
Overzichtspagina filosofie
Doneer enkele euro’s
Wetenschappelijke boeken te koop
Lezingen