Vectoren, vraagstuk 68
Gegeven (in Cartesische coördinaten) het vectorveld:
-
Bereken
∙ F.
-
Bereken
× F.

Het vectorveld F
-
Bereken
∙ F.
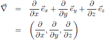
kennen we als volgt:
En het vectorveld kunnen we schrijven als:
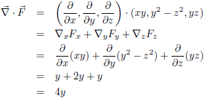
Dan wordt het inwendig product van deze twee vectoren (= de divergentie van het vectorveld):
-
Bereken
× F.
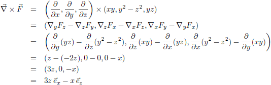
Met
en F beschikbaar:
Dan wordt het uitwendig product van deze twee vectoren (= de rotatie van het vectorveld):
Door naar het volgende vraagstuk: vectoren, vraagstuk 69
Terug naar het vorige vraagstuk: vectoren, vraagstuk 67
Overzichtspagina met vraagstukken
Vraagstukken xref voor de UT
De integraal van
De integraal van
De integraal van
De integraal van
De integraal van
De integralen van
De integralen van
Vectoren, vraagstuk 23
Vectoren, vraagstuk 68
De sommatieconventie van Einstein
De Taylor-reeks van
Tabellen met Taylor-reeksen
Boeken die uitsteken
Hyper-Catalan-getallen
Holomorfie van de functie
Relativiteitstheorie rekenkundig, hoofdstuk 1: snelheden
De ontsnappingssnelheid
Lorentz-transformaties zonder invariantie van de lichtsnelheid
De energie van zwaartekrachtgolven
Vraagstukken kwantummechanica
De integraal van
De Witte Dag
De integraal van
De cycloïde
De minimale straal van een holle bol
Een planeettijdreismachine
De integralen van
Gravitationele rood-/blauwverschuiving
Getijdenkrachten
Zijn wij vroeg of laat?
Overzichtspagina wiskunde
Overzichtspagina natuurkunde
Overzichtspagina filosofie
Doneer enkele euro’s
Wetenschappelijke boeken te koop
Lezingen