Vectoren, vraagstuk 53
De (vlakke) kromme C is de grafiek van de functie:
(ook wel bekend als kettinglijn)
- Geef een parametervoorstelling van C.
- Bereken de booglengte van C voor t van 0 naar x.
-
Geef een parametervoorstelling van C.
Er staat in een wat onnatuurlijke notatie dat aan iedere t een cosh t gekoppeld wordt, oftewel in een notatie die meer vertrouwd is:
De simpelste parametrisering die we kunnen bedenken (en altijd werkt) is:
De grafiek van y = cosh xDan wordt y:
En hieruit volgt de parametrisering van de kromme C:
-
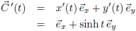
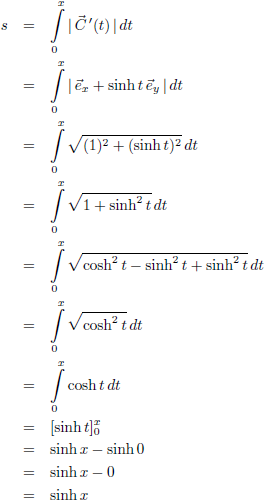
Bereken de
booglengte
van C voor t van 0 naar x.
Hiervoor bepalen we eerst de afgeleide:Daarmee kunnen we de booglengte s berekenen:
Door naar het volgende vraagstuk: vectoren, vraagstuk 54
Terug naar het vorige vraagstuk: vectoren, vraagstuk 52
Overzichtspagina met vraagstukken
Vraagstukken xref voor de UT
De integraal van
De integraal van
De integraal van
De integraal van
De integralen van
De integralen van
Vectoren, vraagstuk 2
Vectoren, vraagstuk 47
Vectoren, vraagstuk 92
Taylor-reeksen
De Taylor-reeks van
De convergentie van een reeks
De astroïde
Holomorfie van de functie
Relativiteitstheorie
Uitleg artikel algemene relativiteitstheorie: inleiding hoofdstuk D
Relativistische periheliumprecessie, 2e orde benadering
Waar begint de spaghettificatie?
De zwaartekracht van een homogene ronde ster
Vraagstukken algemene natuurkunde
Gravitationele rood-/blauwverschuiving
Getijdenkrachten
Zijn wij vroeg of laat?
De Einstein-Rosen-brug
De invaltijd van een baksteen die in een zwart gat valt
De buitenkant van een wormgat
De integraal van
Het waarneembare universum
Wat is een wormgat?
Overzichtspagina wiskunde
Overzichtspagina natuurkunde
Overzichtspagina filosofie
Doneer enkele euro’s
Wetenschappelijke boeken te koop
Lezingen