Vectoren, vraagstuk 52
Ga na van de volgende krommen waarom ze niet regulier zijn:
-
Ik bepaal eerst de afgeleide:
De grafiek van r (t) = (x = t2, y = t3)Vervolgens ga ik nulpunten zoeken:
Voor t = 0 zijn zowel de afgeleide van x als de afgeleide van y gelijk aan nul, dus deze kromme is niet regulier. Of anders gezegd: voor t = 0 is de afgeleide gelijk aan de nulvector, dus deze kromme is niet regulier.
-
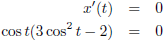
Ik bepaal eerst de afgeleide:
De grafiek van r (t) = (x = sin t cos2 t, y = cos t sin2 t)Vervolgens ga ik nulpunten zoeken, eerst van de afgeleide van x:
Dus:
Of:
Nu de nulpunten van de afgeleide van y:
Dus:
Of:
De afgeleiden worden niet tegelijkertijd nul, dus vanuit dat oogpunt is er geen vuiltje aan de lucht.
Laten we de kromme eens iets anders opschrijven:Iedere keer dat sin t = 0 of cos t = 0 doorloopt de kromme hetzelfde punt en dat geldt ook op die momenten dat sin t = cos t. Dus deze kromme is om die reden niet regulier.
Door naar het volgende vraagstuk: vectoren, vraagstuk 53
Terug naar het vorige vraagstuk: vectoren, vraagstuk 51
Overzichtspagina met vraagstukken
Vraagstukken xref voor de UT
De integraal van
De integraal van
De integraal van
De integraal van
De integralen van
Vectoren, vraagstuk 45
Vectoren, vraagstuk 90
Taylor-reeksen
De Taylor-reeks van
De convergentie van een reeks
Bijzondere figuren
Holomorfie van de functie
Integreren van complexe functies
Uitleg artikel algemene relativiteitstheorie: paragraaf 17
Stabiliteit van cirkelvormige banen om een centrale massa
Afleiding van de Unruh-temperatuur
Het traagheidsmoment van een homogene ronde ster
De energie in een condensator
De illusie van de barracuda
Gravitationele rood-/blauwverschuiving
Getijdenkrachten
Zijn wij vroeg of laat?
De Einstein-Rosen-brug
De invaltijd van een baksteen die in een zwart gat valt
De buitenkant van een wormgat
De integraal van
De astroïde
Het waarneembare universum
Wat is een wormgat?
Overzichtspagina wiskunde
Overzichtspagina natuurkunde
Overzichtspagina filosofie
Doneer enkele euro’s
Wetenschappelijke boeken te koop
Lezingen