De Taylor-reeksen van
f (x) = (a ± x)1/3
Trefwoorden/keywords: Taylor-reeks/Taylor series, f (x) = (a ± x)1/3

De grafiek van f (x) = (1 + x)1/3 (de rode lijn), f (x) = (1 − x)1/3 (de oranje lijn),
f (x) = (2 + x)1/3 (de groene lijn), f (x) = (2 − x)1/3 (de paarse lijn)
en f (x) = (3 + x)1/3 (de blauwe lijn)
| Functie | Taylor-reeks | ||
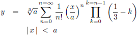
| 1 | ![]() ![]() |
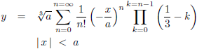
![]() ![]() |
Toon uitwerking |
| 2 | ![]() ![]() |
![]() ![]() |
Toon uitwerking |
| 3 | ![]() ![]() |
![]() ![]() |
Toon uitwerking |
| 4 | ![]() ![]() |
![]() ![]() |
Toon uitwerking |
















Naar de volgende tabel: de Taylor-reeksen van
Naar de vorige tabel: de Taylor-reeksen van
Tabel met Taylor-reeksen
Tabel met integralen
Tabel met afgeleiden
Differentiëren
De afgeleide van
De integraal van
De integraal van
De integraal van
De integraal van
De integraal van
De integraal van
De integralen van
De integralen van
Vectoren, vraagstuk 22
Vectoren, vraagstuk 67
Vraagstukken tensoren
De Taylor-reeks van
De Taylor-reeks van
Een oneindig groot oppervlak verven
Fuss-getallen
Holomorfie van de functie
Relativiteitstheorie rekenkundig
De integraal van
De Witte Dag
De integraal van
De cycloïde
De minimale straal van een holle bol
Een planeettijdreismachine
De integralen van
Gravitationele rood-/blauwverschuiving
Getijdenkrachten
Zijn wij vroeg of laat?
Overzichtspagina wiskunde
Overzichtspagina natuurkunde
Overzichtspagina filosofie
Doneer enkele euro’s
Wetenschappelijke boeken te koop
Lezingen