Vectoren, vraagstuk 4
Bepaal een parametervoorstelling van het vlak V gegeven door:

De grafiek van 2x
1 + 4x
2 + 4x
3 = 5 (het vlak V)
Om naar een parametervoorstelling toe te werken hebben we parameters nodig.
Dat doen we als volgt, ik stel:
Dit werkt altijd.
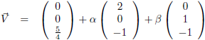
Deze informatie vullen we in in de vergelijking van het vlak V:
En klaar zijn we:
Richtingsvectoren mogen met een willekeurig getal vermenigvuldigd worden, want ze hoeven alleen maar
richting aan te geven.
Door de eerste richtingsvector met 2 te vermenigvuldigen zijn we van die breuk 1/2 af:

Het vlak V met richtingsvectoren en steunvector