Vectoren, vraagstuk 94
Gegeven het vectorveld:
- Ga na voor welke waarden van a en b het vectorveld conservatief is.
- Bepaal voor de gevonden waarden een scalaire potentiaalfunctie U (x, y, z).
-
Bereken:
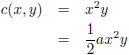
Hierin is k de kromme met parametrisering:
- Kan deze integraal ook worden berekend zonder gebruik te maken van de potentiaalfunctie?

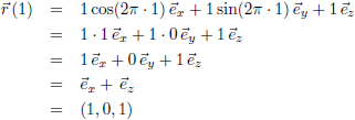
De grafiek van r (t) = (x = t cos (2πt), y = t sin (2πt), z = t)
-
Ga na voor welke waarden van a en b het vectorveld conservatief is.
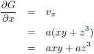
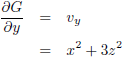
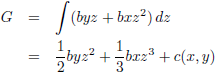
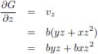
Indien dit vectorveld conservatief is dan is er een scalarveld G te vinden waarvan dit vectorveld de gradiënt is:
kennen we als volgt:
Oftewel:
Door integratie ontstaat:

Door de juiste kruisverbanden te leggen tussen deze drie resultaten is te zien dat:

En uit de eerste vergelijking van het bovenstaande drietal volgt:

Uit de derde vergelijking van het bovenstaande drietal volgt:
En dit is in overeenstemming met de tweede vergelijking.

Het vectorveld v voor a = 2, b = 6 -
Bepaal voor de gevonden waarden een scalaire potentiaalfunctie U (x, y, z).
Door de gevonden waarden voor a en b in te vullen in de vergelijkingen voor G, die we hierboven door integratie verkregen hebben, vinden we de potentiaalfunctie:
-
Bereken:
Hierin is k de kromme met parametrisering:
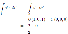
Omdat het veld conservatief is hebben we een potentiaalfunctie gevonden en die kunnen we gebruiken om de bovenstaande integraal te berekenen. Eerst berekenen we r voor minimale en maximale t:
Vervolgens berekenen we de potentialen in die punten:
Dan wordt de integraal:
-
Kan deze integraal
ook worden berekend zonder gebruik te maken van de potentiaalfunctie?
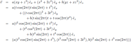
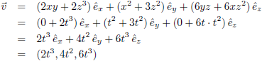
Jawel, maar dat is uiteraard (veel) meer werk. De recht-toe-recht-aan manier is om uit de parametrisering van de kromme k de x, y en z-waarden af te lezen en die te gebruiken om het vectorveld v om te schrijven:Vervolgens nemen we de afgeleide van r:
Waarna het inwendig product v ∙ dr volgt:
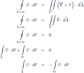
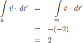
Door dit inwendig product verder uit te werken, de haakjes weg te werken, en nog een dag te zwoegen op de integraal komen we ook via deze weg waarschijnlijk wel ergens tot een oplossing. Laten we eens even heel goed nadenken. De kromme k loopt van de oorsprong naar het punt (1, 0, 1). Van daaruit kunnen we een rechte lijn m bedenken rechtstreeks van het punt (1, 0, 1) terug naar de oorsprong en dan hebben we een gesloten kromme gemaakt die het vlak P omsluit. Volgens meneer Stokes geldt de stelling van Stokes:
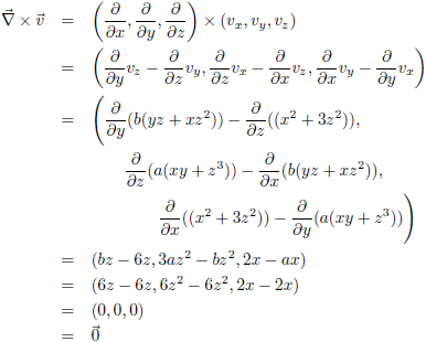
kennen we als volgt:
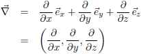
Dan wordt het uitwendig product
× v:
Voor de gevonden waarden a en b is de rotatie van dit vectorveld nul! Dat is interessant want hierdoor kunnen we de stelling van Stokes gebruiken als volgt:
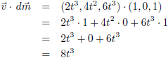
Voor het lijnstuk m kies ik uiteraard de meest simpele parametrisering:
Met deze x, y en z-waarden kan ik het vectorveld schrijven als:
De afgeleide van m is:
Het inwendig product v ∙ dm wordt:
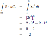
Nu heb ik een heerlijk eenvoudige integraal (en let op de integratiegrenzen want ik eindig in de oorsprong):
Dat brengt ons bij het eindresultaat:

Door naar het volgende vraagstuk: vectoren, vraagstuk 95
Terug naar het vorige vraagstuk: vectoren, vraagstuk 93
Overzichtspagina met vraagstukken
Vraagstukken xref voor de UT
De integraal van
De integraal van
De integraal van
De integraal van
De integraal van
De integralen van
De integralen van
Vectoren, vraagstuk 17
Vectoren, vraagstuk 62
De Taylor-reeks van
De Taylor-reeks van
De Euler-Lagrange-vergelijking
De gammafunctie
Holomorfie van de functie
Relativiteitstheorie rekenkundig, hoofdstuk 3: het balletje
Een raket, een tunnel en twee kanonnen
De maximale snelheid
Wat is een wormgat?
Een analogie van het onzekerheidsprincipe van Heisenberg
Gravitationele rood-/blauwverschuiving
Getijdenkrachten
Zijn wij vroeg of laat?
De Einstein-Rosen-brug
De invaltijd van een baksteen die in een zwart gat valt
De buitenkant van een wormgat
De integraal van
De astroïde
Het waarneembare universum
Overzichtspagina wiskunde
Overzichtspagina natuurkunde
Overzichtspagina filosofie
Doneer enkele euro’s
Wetenschappelijke boeken te koop
Lezingen