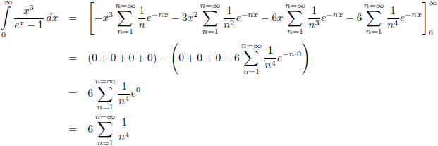
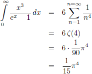
De integraal van
f (x) = x3/(ex − 1)
Trefwoorden/keywords: integraal/integral, integreren/integrate, f (x) = x3/(ex − 1)

De grafiek van f (x) = x3/(eax − 1) voor a = 1 (de rode lijn),
a = 2 (de groene lijn) en a = 3 (de blauwe lijn)

De grafiek van F (x), c = 0, 10 termen meegenomen (de rode lijn),
100 termen meegenomen (de groene lijn), 1000 termen meegenomen (de blauwe lijn),
de reeks convergeert voor x > 0
Lang geleden heeft Bernhard Riemann zich al uitgebreid verdiept in dit soort convergerende reeksen en daarom kennen we sindsdien de Riemann-zetafunctie oftewel de zetafunctie:

Naar de volgende integraal: de integraal van
Naar de vorige integraal: de integraal van
Tabel met integralen
Tabel met afgeleiden
Tabel met Taylor-reeksen
Differentiëren
Integreren
De integraal van
De integraal van
De integraal van
De integraal van
De integralen van
De integralen van
Vectoren
Vectoren, vraagstuk 36
Vectoren, vraagstuk 81
Hoe vormt zich de Ricci-scalar?
De Taylor-reeks van
De Taylor-reeksen van
De stelling van Green
Differentiëren van complexe functies
Holomorfie van de functie
Uitleg artikel algemene relativiteitstheorie: paragraaf 1
Minkowski-diagrammen
De integraal van
De Witte Dag
De integraal van
De cycloïde
De minimale straal van een holle bol
Een planeettijdreismachine
De integralen van
Gravitationele rood-/blauwverschuiving
Getijdenkrachten
Zijn wij vroeg of laat?
Overzichtspagina wiskunde
Overzichtspagina natuurkunde
Overzichtspagina filosofie
Doneer enkele euro’s
Wetenschappelijke boeken te koop
Lezingen