Uitleg artikel algemene relativiteitstheorie: paragraaf 11
Trefwoorden: algemene relativiteitstheorie, Annalen der Physik, Die Grundlage der allgemeinen Relativitätstheorie/De grondslag van de algemene relativiteitstheorie, Königlich Preussischen Akademie der Wissenschaften/Koninklijke Pruisische Academie der Wetenschappen
Hoofdstuk B:
Wiskundige hulpmiddelen voor de opstelling van algemeen covariante vergelijkingen.
Paragraaf 11:
Enige speciale gevallen van bijzondere betekenis.
In
paragraaf 8 hebben we het gehad over determinanten en
onderdeterminanten.
Determinanten kun je natuurlijk ook
differentiëren
en dat is waar we nu mee gaan beginnen.
Om te beginnen neem ik de metrische tensor g
μν, en voor het gemak beperk ik
mij tot twee dimensies.
De determinant van g
μν is:
En vervolgens ga ik dat
differentiëren:
Hier heb ik op het laatst expliciet het sommeringsteken ∑ toegevoegd, omdat er normaliter alleen gesommeerd
dient te worden over indices die een keer hoog en een keer laag voorkomen.
In dit specifieke geval staan alle indices laag, maar moet er wel gesommeerd worden.
De volgende stap is dat ik dit alles uitbreid naar drie dimensies:
De determinant hiervan is:
De volgende stap is wederom het
differentiëren:
Ik kan dit hele spektakel ook gaan doorlopen voor vier en meer dimensies, maar ik hoop dat je van me wilt
aannemen dat in zijn algemeenheid geldt:
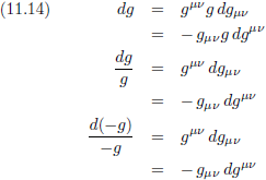
Vervolgens wil ik vergelijking (8.11) even terughalen:
Ik heb dat in
paragraaf 8
helemaal uitgewerkt, en daaruit kwam uiteindelijk de volgende vergelijking voort:
Oorspronkelijke vergelijking uit het artikel van Einstein:
Vergelijking (8.11) kan ik dus ook herschrijven als volgt:
Oftewel:
En als we dit in vergelijking (11.7) stoppen, dan krijgen we:
Uit vergelijking (8.17/E16), die ik zojuist aanhaalde, komt ook het volgende naar voren:
Oorspronkelijke vergelijkingen uit het artikel van Einstein:
Door vergelijking (11.11) te
differentiëren krijg ik:
Oorspronkelijke vergelijking uit het artikel van Einstein:
Daarmee kan ik vergelijking (11.10) ook schrijven als:
Oorspronkelijke vergelijking uit het artikel van Einstein:
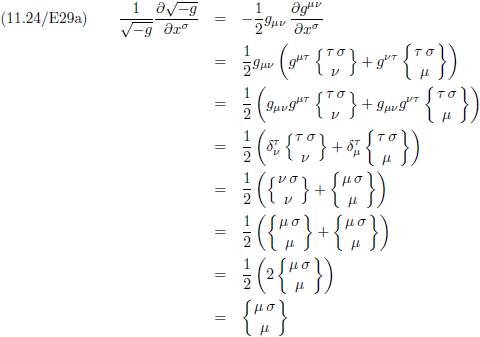
En vergelijking (11.13/E28) ga ik nu gebruiken om even flink mee te knutselen:
Even een tussendoortje:
En dit mix ik met vergelijking (11.14):
Oorspronkelijke vergelijking uit het artikel van Einstein:
Ik haal nogmaals vergelijking (8.17/E16) terug:
Oorspronkelijke vergelijking uit het artikel van Einstein:
En deze vergelijking ga ik
differentiëren:
Oorspronkelijke vergelijking uit het artikel van Einstein:
Wanneer ik de beide vergelijkingen van (11.17/E30) vermenigvuldig met de metrische tensor, een keer met de
contravariante metrische tensor en een keer met de covariante metrische tensor, dan ontstaan de
volgende vergelijkingen (ik vermenigvuldig eerst met de contravariante metrische tensor g
μτ):
Oorspronkelijke vergelijking uit het artikel van Einstein:
En door te vermenigvuldigen met de covariante metrische tensor g
ντ ontstaat:
Oorspronkelijke vergelijking uit het artikel van Einstein:
Uit
paragraaf 9 kenden we reeds:
Oorspronkelijke vergelijking uit het artikel van Einstein:
Door de eerste en derde index van dit Christoffel-symbool te verwisselen ontstaat:
Door de vergelijkingen (9.31/E21) en (11.20) bij elkaar op tellen én met de wetenschap dat de metrische tensor symmetrisch is,
krijgen we dan de volgende uitdrukking:
Oorspronkelijke vergelijking uit het artikel van Einstein:
En dit gebruik ik vervolgens om vergelijking (11.18b/E31) te verbouwen:
Laat ik vergelijking (9.33/E23) ook nog even in herinnering roepen:
Oorspronkelijke vergelijking uit het artikel van Einstein:
Daarmee kan ik vergelijking (11.22) omschrijven als volgt:
Oorspronkelijke vergelijking uit het artikel van Einstein:
En dit ga ik vervolgens weer gebruiken om vergelijking (11.16/E29) om te schrijven:
Oorspronkelijke vergelijking uit het artikel van Einstein:
We zijn inmiddels (hoop ik) aardig vertrouwd met het begrip vector.
Een natuurkundige grootheid die ik kan weergeven middels een getal, een eenheid en een richting kan
ik weergeven middels een pijltje, oftewel een vector.
Als ik in oostelijke richting fiets met een snelheid van 20 km/uur, dan kan ik een pijltje naar rechts
tekenen, met een lengte van 20 mm en daar zet ik dan het symbool
v voor snelheid (velocity) bij
(en
vet gedrukt want het is een vector).
We hebben ook al kennis gemaakt met de
gradiëntvector

.
Door een scalarveld
partieel te differentiëren
naar alle variabelen waaruit dat scalarveld is opgebouwd
(plaats, tijd, luchtdruk, enzovoort) ontstaan de componenten van de
gradiëntvector

.
Die componenten zijn uiteraard afhankelijk van ‘waar ik mij bevind’ in dat scalarveld, met andere
woorden, overal in dat scalarveld heb ik een andere
gradiëntvector.
Ik heb dus een heel veld van
gradiëntvectoren, oftewel door een scalarveld te
differentiëren ontstaat
een vectorveld.
Indien S het scalarveld beschrijft, dus S is bijvoorbeeld een functie van x en y en z, dan beschrijft

S het vectorveld als functie van x en y en z als volgt:
Of anders geschreven:
Of nog anders geschreven:
Nu kan ik links en rechts S uitdelen:
Op deze manier geschreven spreken we over de
nabla-operator.
Vergelijking (11.28) parkeren we even.
De volgende boeiende stap is om te onderzoeken hoe een vectorveld zich gedraagt.
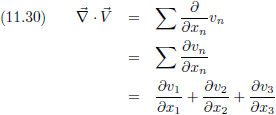
Stel ik heb het volgende vectorveld
V:
Waarbij v
n een functie is van x en y en z, of algemener gezegd: van x
n.
Om dit vectorveld te onderzoeken willen we natuurlijk
differentiëren.
En de nabla-operator leent zich daar natuurlijk wel heel goed voor, want deze operator bestaat uit een set
partiële afgeleiden
naar de verschillende variabelen waar het vectorveld van afhankelijk is.
Dus enerzijds hebben we de nabla-operator, een vector, en anderzijds het vectorveld, een hele verzameling vectoren.
En vectoren kunnen op twee manieren ‘iets’ met elkaar doen, via het
inwendig product of via het
uitwendig product.
Laten we eerst eens naar het
inwendig product kijken:
We noemen dit de
divergentie
(afgekort: div) van het vectorveld
V:
Het woord “divergeren” betekent “uiteenlopen” (het tegenovergestelde van divergeren is
convergeren = samenkomen).
De
divergentie van een vectorveld
laat zien hoe de vectoren van dat vectorveld uiteenlopen.
En dit uit zich via een getal (want het is een
inwendig product),
dus de
divergentie van een vectorveld is een scalarveld.
Indien de
divergentie
nul is dan lopen de vectoren van het vectorveld keurig parallel, is de
divergentie positief dan lopen de vectoren uiteen,
en is de
divergentie negatief dan lopen de
vectoren naar elkaar toe (een negatieve
divergentie
uit zich dus als convergentie).
De andere optie is om de nabla-operator via het
uitwendig product op een vectorveld los te laten:
Laat ik vergelijking (6.10) er even bij halen:
Dit ga ik gebruiken om iets zinvols van vergelijking (11.32) te maken:
We noemen dit de
rotatie (afgekort: rot)
van het vectorveld
V:
De
rotatie
van een vectorveld laat zien hoe de vectoren van dat vectorveld draaien in de ruimte.
Je kunt dit het beste visualiseren als een soort draaikolk of wervelwind.
En omdat dat draaien een richting heeft uit zich dit via een vector
(want het is een
uitwendig product),
dus de
rotatie van een vectorveld is een vectorveld.
Een wervelwind loopt altijd spits toe naar onder en heeft dus zowel
divergentie als
rotatie.
Stel dat een wervelwind perfect verticale ‘wanden’ zou hebben dan heeft die wervelwind wel
rotatie maar de
divergentie is dan nul.
Zo, dan ben je nu ook op de hoogte van de
divergentie en
rotatie en kan ik de draad weer oppakken van het artikel van Einstein.
Hij pakt vergelijking (10.15/E26) uit de vorige paragraaf erbij:
Oorspronkelijke vergelijking uit het artikel van Einstein:
Ik ga beide zijden van deze vergelijking met de contravariante metrische tensor g
μν
vermenigvuldigen:
Oorspronkelijke vergelijking uit het artikel van Einstein:
Door vervolgens de haakjes weg te werken en daarna gebruik te maken van wat ik bereikt heb met de
vergelijkingen (11.16/E29) en (11.18b/E31) kom ik weer een stapje verder:
Oorspronkelijke vergelijking uit het artikel van Einstein (voor de laatste drie termen):
Ik knutsel nog iets verder:
Dit vergt inderdaad het uiterste voor wat betreft het bijhouden van welke-indices-staan-waar en zijn-ze-dummy-of-niet.
Maar het is weer gelukt, hoera!
Door nog even te stellen dat:
Oorspronkelijke vergelijking uit het artikel van Einstein:
En met in ons achterhoofd dat ν en α allebei dummy indices zijn verandert vergelijking (11.36) dan in:
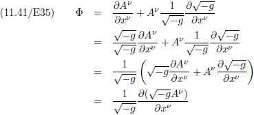
Het product g
μν A
μν is uiteraard een invariant, een scalar,
en die noem ik Φ:
Waarmee vergelijking (11.38) verder versimpelt tot:
Door nog één trucje toe te passen bereik ik het eindresultaat van dit onderdeel:
Oorspronkelijke vergelijking uit het artikel van Einstein:
De scalar Φ is de
divergentie van de contravariante vector A
ν.
Dit ziet er wat anders uit dan de vergelijking voor de
divergentie die ik hiervoor afleidde (vergelijking (11.30)),
maar dat komt omdat ik daar uitging van Cartesische coördinaten (kaarsrechte assen die loodrecht op elkaar
staan en een constante ‘maatverdeling’ hebben).
Zoals je inmiddels wel door hebt is dit binnen de algemene relativiteitstheorie allemaal veel te beperkt
en sluipt daarom overal de metrische tensor in onze vergelijkingen om al deze wiskundige abstracties,
waar we nu al een aantal paragrafen in zitten, in overeenstemming te brengen met de werkelijkheid.
Voor het volgende onderwerp van deze paragraaf grijpt Einstein nogmaals terug op vergelijking (10.15/E26):
Oorspronkelijke vergelijking uit het artikel van Einstein:
Stel dat we twee willekeurige tensoren nemen, A
μν en A
νμ:
Vervolgens vorm ik een nieuwe tensor door deze twee tensoren van elkaar af te trekken:
Omdat de Christoffel-symbolen symmetrisch zijn in de eerste twee indices geldt:
Waardoor vergelijking (11.43) vereenvoudigt tot:
Oorspronkelijke vergelijking uit het artikel van Einstein:
Hiervoor heb ik de
divergentie afgeleid, dus je
voelde het waarschijnlijk al aankomen: dit is de
rotatie.
De tensor B
μν is de
rotatie van de covariante vector A
μ.
Ook hier geldt dat dit er anders uitziet dan wat ik hiervoor heb afgeleid voor de
rotatie.
Ik ga deze tensor eens even helemaal uitschrijven:
Wellicht herken je er nu de regelmaat in van vergelijking (11.33).
Verder valt er nog op te merken dat de rotatietensor B
μν
anti-symmetrisch
is.
Voor het volgende onderwerp grijpt Einstein terug op vergelijking (10.37/E27):
Oorspronkelijke vergelijking uit het artikel van Einstein:
Ik kan de indices cyclisch verwisselen als volgt:
Nu ga ik deze drie vergelijkingen optellen:
Wanneer ik hier de voorwaarde aan toevoeg dat A
μν een
anti-symmetrische tensor
is, dus A
μν = − A
νμ, dan vallen zes termen van vergelijking (11.48)
tegen elkaar weg (de termen met de Christoffel-symbolen, want die zijn symmetrisch in de eerste twee indices) en ontstaat:
Oorspronkelijke vergelijking uit het artikel van Einstein:
Bij de tensor B
μνσ kan ik op drie manieren twee indices verwisselen.
Dat ga ik doen.
Waarmee bewezen is dat de tensor B
μνσ eveneens
anti-symmetrisch
is, zoals Einstein ook aangeeft in zijn artikel (maar wat wij natuurlijk niet voetstoots aannemen).
Einstein haalt nogmaals vergelijking (10.37/E27) erbij:
Oorspronkelijke vergelijking uit het artikel van Einstein:
En vermenigvuldigt die vervolgens aan beide zijden met g
μα g
νβ:
Voor g
μα g
νβ A
μνσ schrijven
we A
σαβ:
Vervolgens werk ik de haakjes weg:
In de eerste term aan de rechterkant brengen we vervolgens g
μα g
νβ
achter de
differentiaal (de kromme d):
Oorspronkelijke vergelijking uit het artikel van Einstein (voor de eerste drie termen van de eerste regel):
En vervolgens breng ik nog vergelijking (11.23/E34) erbij in, daarna ga ik nauwkeurig de dummy indices herbenoemen en
kan ik termen tegen elkaar wegstrepen.
Tenslotte ga ik weer dummy indices herbenoemen en komen we tot het eindresultaat.
Hierbij moeten we telkens goed in ons achterhoofd houden dat de metrische tensor symmetrisch is en dat de Christoffel-symbolen
symmetrisch zijn in de eerste twee indices.
Oorspronkelijke vergelijking uit het artikel van Einstein:
Zo, dat was weer een hele toer om alle indices op de juiste plek te zetten maar we zijn uiteindelijk wel gekomen
waar we wezen wilden.
Einstein noemt dit resultaat wederom de
uitbreiding (“erweiterung”) van een contravariante tensor van de
tweede rang, maar in moderne taal staat hier de
covariante afgeleide van een dergelijke tensor.
De afleiding die geleid heeft tot vergelijking (11.55/E38) kan natuurlijk ook gebruikt worden om de
covariante afgeleide
van een gemengde tensor van de tweede rang te bepalen.
Ik ga die afleiding hier niet herhalen maar ik gebruik als uitgangspunt vergelijking (11.55/E38) en ga vervolgens met
de indices knutselen:
Oorspronkelijke vergelijking uit het artikel van Einstein:
Nu is het een goed moment om even wat resultaten uit deze paragraaf en de
vorige paragraaf op een rijtje zetten:
Oorspronkelijke vergelijking uit het artikel van Einstein:
Oorspronkelijke vergelijking uit het artikel van Einstein:
Oorspronkelijke vergelijking uit het artikel van Einstein:
Oorspronkelijke vergelijking uit het artikel van Einstein:
Oorspronkelijke vergelijking uit het artikel van Einstein:
We zien hier achtereenvolgens de
covariante afgeleide
van een scalarveld (vergelijking (10.6/E24)),
de
covariante afgeleide
van een vectorveld (vergelijking (10.15/E26)), en driemaal de
covariante afgeleide
van een tensor van de tweede rang.
Eerst voor een covariante tensor van de tweede rang (vergelijking (10.37/E27)), vervolgens voor een
contravariante tensor van de tweede rang (vergelijking (11.55/E38)) en tenslotte voor een gemengde tensor
van de tweede rang (vergelijking (11.56/E39)).
Merk op dat de
covariante afgeleide
van een scalarveld de
‘gewone’
afgeleide is, want een scalar is
immers invariant.
Merk ook op dat in een Cartesisch coördinatenstelsel, een vlakke ruimte, alle Christoffel-symbolen
nul zijn en dat de bovenstaande vijf vergelijkingen dan reduceren tot de
‘gewone’
afgeleide.
Tenslotte is het wel een goed moment om hier het begrip
tensorveld te introduceren.
De eerste twee vergelijkingen zijn de
covariante afgeleiden
van een scalarveld en een vectorveld.
In het verlengde daarvan liggen uiteraard de tensorvelden van iedere willekeurige rang, waarbij
een scalarveld als een tensorveld van de nulde rang gezien kan worden en een vectorveld als een
tensorveld van de eerste rang.
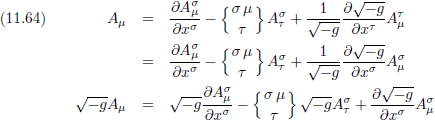
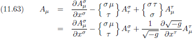
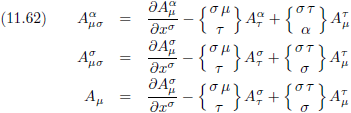
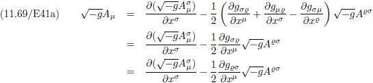
Voor het volgende onderdeel nemen we de tensor van vergelijking (11.55/E38) en gaan we een contractie doen
door de indices β en σ aan elkaar gelijk te stellen (dus σ wordt β):
Oorspronkelijke vergelijking uit het artikel van Einstein:
Als we aannemen dat A
αβ een
anti-symmetrische tensor
is dan verdwijnt de middelste term van het rechterdeel helemaal want in dat geval geldt:
Terwijl:
Omdat β en

allebei dummy indices zijn kan uiteindelijk
de ene helft van de termen weggestreept worden tegen de andere helft van de termen (indien je het helemaal
zou uitschrijven in termen).
Vergelijking (11.57) reduceert dan tot:
Met behulp van vergelijking (11.24/E29a) kunnen we ook schrijven:
Oorspronkelijke vergelijking uit het artikel van Einstein:
En hier hebben we wederom een vergelijking voor de
divergentie,
en ditmaal dus de
divergentie
van een
anti-symmetrische tensor
van de tweede rang.
Vergelijking (11.57) hebben we gevonden door een contractie uit te voeren op vergelijking (11.55/E38) met betrekking tot de
indices β en σ.
Nu gaan we iets soortgelijks doen door een contractie uit te voeren op vergelijking (11.56/E39) met betrekking tot de
indices α en σ (α wordt in dit geval σ):
Met behulp van vergelijking (11.24/E29a) kan het Christoffel-symbool in de rechterterm omgeschreven worden tot:
Door de dummy index van de rechterterm te hernoemen en alles te vermenigvuldigen met √(−g) ontstaat:
De eerste term en de derde term van het rechterlid zijn de resultaten van de
productregel.
Daardoor kunnen we ook schrijven:
Oorspronkelijke vergelijking uit het artikel van Einstein:
Het Christoffel-symbool in deze vergelijking is van de tweede soort en die kan ook geschreven worden als een
Christoffel-symbool van de eerste soort als volgt:
Omdat:
Oorspronkelijke vergelijking uit het artikel van Einstein:
Daarom kan de laatste term ook geschreven worden als:
Oorspronkelijke vergelijking uit het artikel van Einstein (voor de laatste term):
Door het Christoffel-symbool volledig uit te schrijven krijgen we:
Als we aannemen dat de tensor A
ρσ symmetrisch is én met de wetenschap dat de tensor g dat sowieso is
krijgen we deze vergelijking (de tweede term en derde term van het Christoffel-symbool vallen tegen elkaar weg):
Oorspronkelijke vergelijking uit het artikel van Einstein:
Ik kan deze vergelijking ook anders opschrijven door de tensor A
ρσ om te werken van een contravariante
tensor naar een covariante tensor als volgt:
Oorspronkelijke vergelijking uit het artikel van Einstein:
Door gebruik te maken van vergelijking (11.18b/E31) kom ik dan tot dit resultaat:
Oorspronkelijke vergelijking uit het artikel van Einstein:
En hiermee zijn we aan het einde gekomen van een lange paragraaf vol met wiskundig gegoochel.
Dit heeft allerlei vergelijkingen opgeleverd die later handig zullen blijken te zijn.
We gaan het zien!