De wetten van Kepler met verwaarloosbare secundaire massa

Leid de drie wetten van Kepler af, waarbij de secundaire massa verwaarloosbaar is ten opzichte van de primaire massa.

Kepler

De ontdekking dat de planeetbanen niet perfect cirkelvormig zijn maar elliptisch (ovaal) staat op naam van de Duitser Johannes Kepler. Hij heeft ons drie wetten nagelaten volgens welke de planeten bewegen in hun baan om de Zon en die drie wetten gaan we hier afleiden.

We gaan uit van een planeet (maar dat zou ook een willekeurig ander object kunnen zijn) die om de Zon (of een willekurig ander object) beweegt onder invloed van de zwaartekracht. Beide objecten hebben een onderlinge afstand r, we plaatsen de Zon in de oorsprong (en die blijft daar ook omdat de secundaire massa, de massa van het andere object, verwaarloosbaar is; met andere woorden: de Zon beweegt niet, er wordt niet aan getrokken), en de planeet heeft een bepaalde hoekpositie θ. Deze beide variabelen variëren uiteraard als functie van de tijd:

Ik heb het vanaf nu gewoon over r en θ zonder de functie-van-t aanduidingen erbij. De afstand r en de hoek θ zijn poolcoördinaten en die kan ik omschrijven naar rechthoekige coördinaten x en y als volgt:

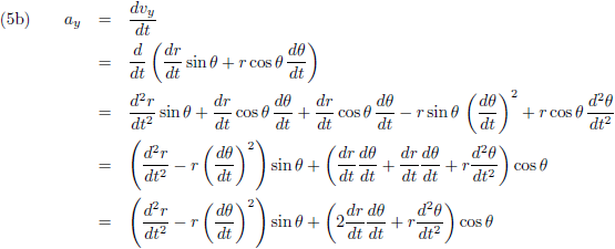
De coördinaten x en y geven positie aan en de afgeleide van positie is de snelheid. Daarom ga ik de bovenstaande twee vergelijkingen differentiëren om de snelheid te bepalen:

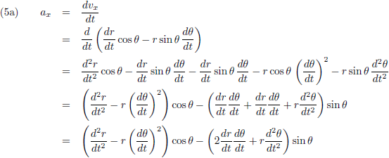
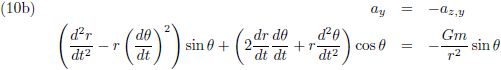
De afgeleide van de snelheid is de versnelling en daarom ga ik nogmaals differentiëren om de versnelling te bepalen:


Newton

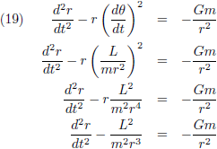
De kracht tussen de beide objecten is de zwaartekracht en die wordt beschreven volgens deze wet van Newton:

Ik deel deze kracht door de massa zodat ik versnelling overhoud:
Deze kan ik natuurlijk ook ontbinden in een x-component en een y-component:

Volgens een andere wet van Newton geldt:
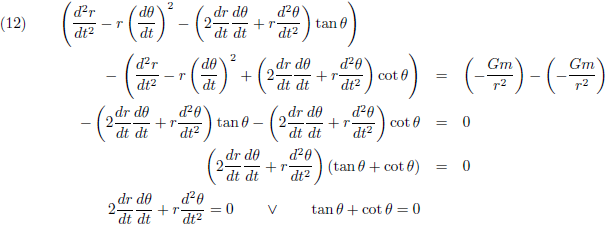
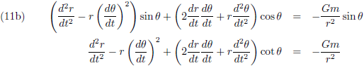
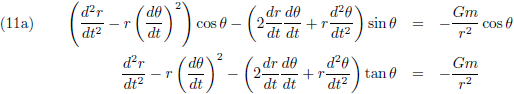
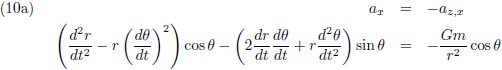
De linkerkant van vergelijking (9) zijn de vergelijkingen (5) en de rechterkant van (9) zijn de vergelijkingen (8). Ik kan deze dus aan elkaar gelijk stellen (met een minteken want de zwaartekracht werkt aantrekkend, richting de oorsprong, en dat is tegengesteld aan de positie respectievelijk snelheid respectievelijk versnelling volgens de vergelijkingen (3), (4) en (5)):

Vervolgens deel ik door cos θ respectievelijk sin θ:

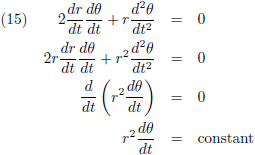
En tenslotte trek ik beide vergelijkingen van elkaar af:
Ik neem eerst de rechteroplossing onder de loep:
Deze oplossing kan dus nooit voorkomen. Dan blijft alleen de andere oplossing over:
Door beide termen met r te vermenigvuldigen krijg ik:
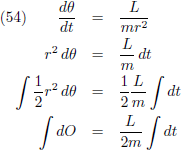
Deze constante die we hier gevonden hebben is het impulsmoment (gedeeld door de massa omdat ik hiervoor de massa uitgedeeld heb, zie vergelijking (7)). Het impulsmoment L is de impuls maal de loodrechte afstand tot een bepaald scharnierpunt of rotatie-as. Voor (15) kunnen we aldus schrijven:
Oftewel:
Ik ga nu (14) invullen in de vergelijkingen (11):

De vergelijkingen (18) zijn identiek, hetgeen te verwachten was na het voorgaande (vergelijking (14) is immers nul). Het probleem waar we nu mee zitten is dat we maar liefst drie onbekenden hebben: r, θ en t. Daar ga ik aan werken en daarom ga ik (17) invullen in (18):
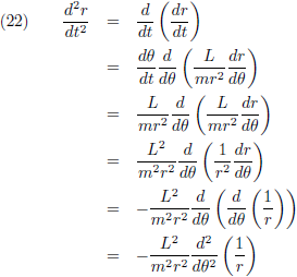
De afgeleide van r kan ik ook als volgt schrijven:
Met behulp van (17) wordt dit:
De tweede afgeleide van r kan ik dan schrijven als:
Dit resultaat stop ik in vergelijking (19):
Ik stel:
Hiermee kan ik (23) schrijven als volgt:
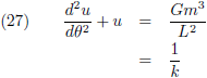
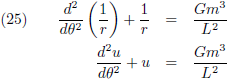
De vergelijking (25) is een differentiaalvergelijking, een mengelmoes van afgeleiden en ‘gewone’ functies, en die hebben we via allerlei omweggetjes omgeschreven van drie variabelen (r, t en θ) naar twee variabelen (u en θ). Het rechterlid van deze vergelijking is constant en die noem ik 1/k:
Waarmee (25) uiteindelijk deze aantrekkelijke vorm krijgt:
Over het oplossen van differentiaalvergelijkingen zijn (ook) boeken vol geschreven, maar ik wil het hier even kort houden. De vergelijking (27) kent de functie u en de tweede afgeleide van de functie u naar θ. Sinussen en cosinussen worden na tweemaal differentiëren weer ‘zichzelf’, want een sinus wordt weer een sinus en een cosinus wordt weer een cosinus. Voor een sinus ziet dat er zo uit:


En voor de cosinus wordt dat als volgt:


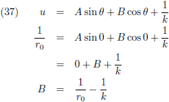
De algemene oplossing van (27) is daarom:
Hierin zijn A, B en C constanten die we nog moeten bepalen. Om te beginnen substitueer ik de oplossing (34) in de vergelijking (27):
Nu kennen we alvast de constante C en die gaan we invullen in (27):
Ik stel dat de afstand tussen beide objecten voor θ = 0 gelijk is aan r0:
En wanneer θ = π/2 dan is r gelijk aan r1:
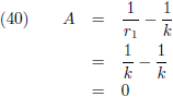
In de constante k bevindt zich het impulsmoment L en die is weliswaar constant, maar verder weten we er nog niets concreets van. Ik sla twee vliegen in één klap door te stellen dat (ik koppel het impulsmoment aan ‘echte’ afstanden en ik raak de onbekende A kwijt):
Waardoor A wordt:
De vergelijkingen (37) en (40) in combinatie met (36) leveren uiteindelijk dit resultaat op:
Oftewel:
Hetgeen de vergelijking is van een ellips:
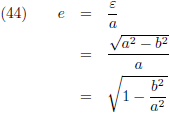
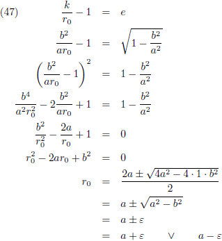
Hierin is e de numerieke excentriciteit, of kortweg excentriciteit, van de ellips:
Met a als de halve lange as, b als de halve korte as en ε als de lineaire excentriciteit van de ellips.
Voor k geldt:
In combinatie met (26) volgt hieruit:
Uit (42) tot en met (45) volgt ook:
En dit zijn inderdaad het aphelium (grootste afstand tot de Zon) en het perihelium (kleinste afstand tot de Zon) van de omloopbaan van een planeet.

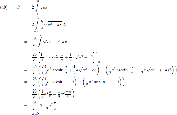
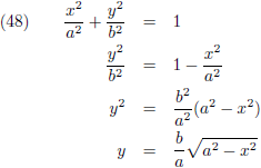
De vergelijking van een ellips in rechthoekige coördinaten met de oorsprong in het middelpunt is:
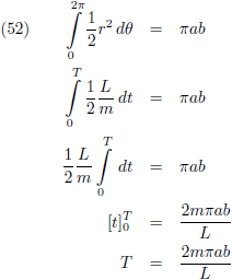
Door dit te integreren van −a tot +a bereken ik de oppervlakte van de ellips. Ik vermenigvuldig met twee omdat ik anders alleen het oppervlak van de bovenste helft van de ellips als resultaat krijg:
De oplossing van de integraal van (a2 − x2)1/2 kun je vinden in de tabel met integralen.

Ik kan de oppervlakte natuurlijk ook berekenen in poolcoördinaten:
En dat levert uiteraard hetzelfde antwoord op:
Door gebruik te maken van vergelijking (16) kan ik ook schrijven:
In combinatie met (46) geeft dit:
Na al dit gereken hebben we alle ingrediënten bij elkaar om de wetten van Kepler op een rijtje te zetten. De eerste wet van Kepler zegt dat alle planeten in elliptische banen om de Zon bewegen, waarbij de Zon niet in het middelpunt van de ellips staat maar in één van de brandpunten. Dit volgde uit de vergelijkingen (42) en (43):

Met (47) heb ik het aphelium en het perihelium berekend:
Merk op dat de som van beide gelijk is aan 2a, zijnde de lange as van de ellips.

De tweede wet van Kepler zegt dat een planeet in gelijke tijdsintervallen gelijke oppervlakten bestrijkt, waarbij een oppervlakte gevormd wordt door de taartpunt met de Zon aan de punt en de planeetbaan als de rand van de taart. Deze wet zit verborgen in (17):
Deze wet is bekend onder de naam perkenwet.

De derde wet van Kepler zegt dat het kwadraat van de omlooptijd van een planeet evenredig is met de derde macht van de halve lange as van de baan. Dit is zichtbaar middels vergelijking (53)
Ik zet ze even netjes op een rijtje, de drie wetten van Kepler: