De magnetische kracht als relativistisch bijverschijnsel
Laat zien dat de magnetische kracht ‘slechts’ een relativistisch bijverschijnsel is van de elektrische kracht.
We kennen de Lorentz-transformaties voor
coördinaattransformaties tussen twee stelsels S en S' die met een snelheid v ten opzichte van
elkaar bewegen:
Hierin is γ de
Lorentz-factor:
Er is een lading q1 en die bevindt zich ergens op t = 0.
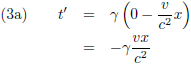
De Lorentz-transformaties vereenvoudigen voor
dat specifieke moment tot:
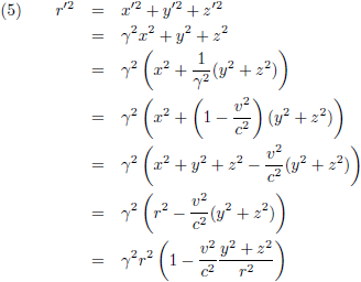
De ruimtelijke afstand van q1 tot de oorsprong van S' is:
Met behulp van de Lorentz-transformaties, de vergelijkingen (3),
kan ik dit omschrijven naar r, zijnde de ruimtelijke afstand van q1 tot de oorsprong van S:
Oftewel:
De hoek die r maakt met de x-as noem ik θ, waaruit volgt:
Hiermee verandert vergelijking (6) in:
Er is ook een lading q2 en die bevindt zich in rust in de oorsprong van S'.
Deze lading q2 genereert uiteraard een elektrisch veld volgens de wet van De Coulomb:

Elektrische kracht
En dit veld oefent een elektrische kracht uit op de lading q1:
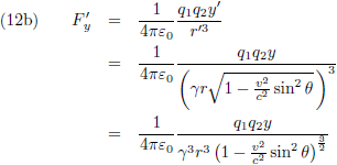
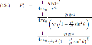
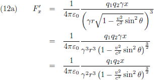
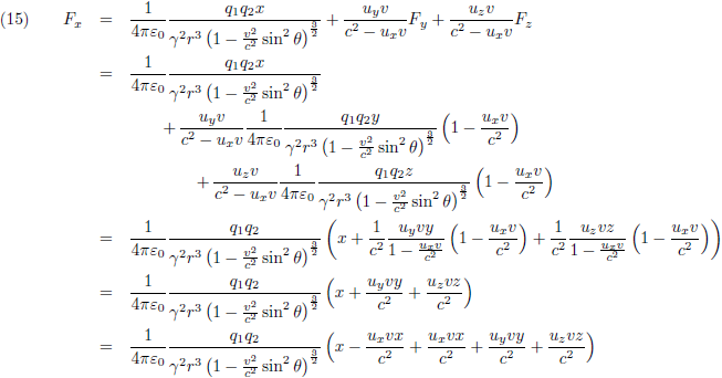
Ik ga deze kracht uitschrijven in componenten:
Met behulp van de vergelijkingen (3) en (8) wordt dit:
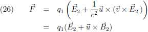
De
transformatievergelijkingen voor krachten zijn:
Dit combineer ik met de vergelijkingen (12):
De vergelijkingen (14b) en (14c) ga ik nu invullen in (14a):
Vervolgens maak ik gebruik van het
inwendig product:
De snelheid v heeft alleen een x-component (daar zijn immers alle relativistische transformatievergelijkingen
op gebaseerd) en daarom kan ik vergelijking (16) ook schrijven als volgt:
En omdat v
y = v
z = 0 kan ik een trucje uithalen bij de vergelijkingen (14b) en (14c):
Met nogmaals het
inwendig product
in gedachten kan ik de vergelijkingen (17) als één vectorvergelijking samennemen:
Of iets anders opgeschreven:
Ik tast even in de vectortrucendoos.
Voor drie willekeurige vectoren
A,
B en
C geldt altijd:
Je voelt het waarschijnlijk al aankomen, door deze vectorregel in te zetten is vergelijking (19) ook
te schrijven als:
Voor v = 0 wordt dit:
En zo zijn we weer terug bij de wet van De Coulomb.
Daarom mag ik stellen:
Vergelijking (21) wordt dan:
Ik stel:
Dit stop ik in de vorige vergelijking waardoor we uiteindelijk uitkomen bij deze vergelijking:
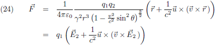
En zo heb ik zonder ook maar één keer het woord “magnetisme” te gebruiken de formule voor de Lorentz-kracht afgeleid:
Door nauwgezet alle relativistische transformatievergelijkingen in te zetten (uitgaande van de elektrische kracht)
komt de magnetische kracht vanzelf bovendrijven, het is niets meer of minder dan iets wat relativistisch bij de
elektrische kracht hoort.
Oftewel, een relativistisch bijverschijnsel van de elektrische kracht.
En waarom gebruik ik het woord “bijverschijnsel”?
Omdat de snelheden u en v per definitie (veel) kleiner zijn dan de lichtsnelheid c zal de magnetische kracht altijd
(veel) kleiner zijn dan de elektrische kracht.

Een zonnevlam, een samenspel van elektrische - en magnetische
krachten, dus eigenlijk één kluwen elektrische krachten
En jawel, ook een kompasnaald reageert in essentie op een elektrisch veld, maar dat veld heeft zich relativistisch
vermomd als een magnetisch veld.