De integralen van
f (x) = xn sin (ax) versus f (x) = xn cos (ax)
Trefwoorden/keywords: integraal/integral, integreren/integrate, f (x) = xn sin (ax) versus f (x) = xn cos (ax)

De grafiek van f (x) = xn sin (ax) voor n = 0 (de rode lijn),
n = 1 (de groene lijn) en n = 2 (de blauwe lijn),
en de grafiek van f (x) = xn cos (ax) voor n = 0 (de oranje lijn),
n = 1 (de paarse lijn) en n = 2 (de grijze lijn), a = 1
Integrand![]() |
Primitieve | ||
![]() |
![]() ![]() |
![]() ![]() |
Toon uitwerking |
![]() ![]() |
![]() ![]() |
Toon uitwerking | |
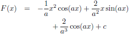
![]() |
![]() ![]() |
![]() ![]() |
Toon uitwerking |
![]() ![]() |
![]() ![]() |
Toon uitwerking | |
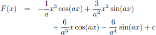
![]() |
![]() ![]() |
![]() ![]() |
Toon uitwerking |
![]() ![]() |
![]() ![]() |
Toon uitwerking | |
![]() |
![]() ![]() |
![]() ![]() |
Toon uitwerking |
![]() ![]() |
![]() ![]() |
Toon uitwerking | |
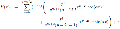
![]() |
![]() |
![]() |
|
![]() |
![]() ![]() |
![]() ![]() |
Toon uitwerking |
![]() ![]() |
![]() ![]() |
Toon uitwerking | |















































Naar de volgende tabel: de integralen van
Naar de vorige tabel: de integralen van
Tabel met integralen
Differentiëren
Integreren
De integraal van
De integraal van
De integraal van
De integraal van
De integralen van
Vectoren, vraagstuk 4
Vectoren, vraagstuk 49
Vectoren, vraagstuk 94
Taylor-reeksen
De Taylor-reeks van
Een reeks afsplitsen van een functie
Getallen
Holomorfie van de functie
Relativiteitstheorie
Uitleg artikel algemene relativiteitstheorie: paragraaf 20
Christoffel-symbolen van de Schwarzschild-metriek
De verdamptijd van een zwart gat
Periheliumprecessie als gevolg van een oblate ster
Afleiding van de algemene golfvergelijking
Gravitationele rood-/blauwverschuiving
Getijdenkrachten
Zijn wij vroeg of laat?
De Einstein-Rosen-brug
De invaltijd van een baksteen die in een zwart gat valt
De buitenkant van een wormgat
De integraal van
De astroïde
Het waarneembare universum
Wat is een wormgat?
Overzichtspagina wiskunde
Overzichtspagina natuurkunde
Overzichtspagina filosofie
Doneer enkele euro’s
Wetenschappelijke boeken te koop
Lezingen