Uitleg artikel algemene relativiteitstheorie: paragraaf 22
Trefwoorden: algemene relativiteitstheorie, Annalen der Physik, Die Grundlage der allgemeinen Relativitätstheorie/De grondslag van de algemene relativiteitstheorie, Königlich Preussischen Akademie der Wissenschaften/Koninklijke Pruisische Academie der Wetenschappen
Hoofdstuk E.
Paragraaf 22:
Het gedrag van meetlatten en klokken binnen het statische zwaartekrachtveld.
Afbuiging van lichtstralen.
Periheliumbeweging van de planetenbanen.
In de laatste paragraaf van zijn artikel besteedt Einstein uitgebreid aandacht aan verschijnselen in de echte wereld die zijn theorie
onderbouwen.
Alle voorgaande paragrafen waren puur theoretisch van aard, in het begin zelfs filosofisch, en verderop werd het zeer wiskundig als
aanloop naar de natuurkundige beschouwingen in de daaropvolgende paragrafen.
Maar nu komt het er op aan, want waaruit blijkt in de werkelijkheid dat de algemene relativiteitstheorie bestaansrecht heeft?
Einstein heeft daarvoor drie concrete fysische verschijnselen op zijn lijstje staan en die gaat hij hierna bespreken en wiskundig
onderbouwen.
Uit de titel van deze paragraaf blijkt al wat die drie verschijnselen zijn:
- Wat gebeurt er met tijd en afstand onder invloed van de zwaartekracht?
- In welke mate wordt licht afgebogen onder invloed van de zwaartekracht?
- Hoe bewegen objecten (met name hemellichamen) nou precies onder invloed van de zwaartekracht?
Bij het laatste punt heb ik het woordje “precies” benadrukt, want met de wetten van Newton in de hand kun je heel nauwkeurig de banen
van hemellichamen berekenen maar zijn er toch minimale afwijkingen.
Met de algemene relativiteitstheorie rekent het weliswaar een heeeeeeeeeel stuk moeilijker (dan met de wetten van Newton), maar de
resultaten zijn wel exact.
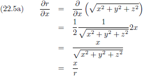
In de
vorige paragraaf
hebben we gezien dat van de zestien g
μν-componenten (waarvan er tien onafhankelijk zijn)
bij eerste benadering alleen de component g
44 de bewegingsvergelijking van een object in een zwaartekrachtveld bepaalt:
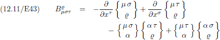
Oorspronkelijke vergelijking uit het artikel van Einstein:
Daarbij gingen we ervanuit dat de g
μν maar ‘een beetje’ afwijken van de volgende waarden:
Oorspronkelijke vergelijking uit het artikel van Einstein:
Echter, we zijn er telkens vanuit gegaan dat:
Oorspronkelijke vergelijking uit het artikel van Einstein:
En in
paragraaf 8 hebben we geleerd dat:
Einstein merkt daarom terecht op dat behalve g
44 er ook nog andere componenten van de metrische tensor moeten afwijken van
de waarden (4.47/E4) in het geval dat we een eerste orde benadering uitvoeren.
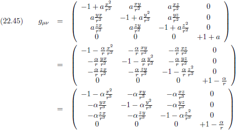
Oftewel, we gaan proberen te vinden hoe (de kleine afwijkingen van) de componenten van de metrische tensor g er uit zien:
Einstein gaat uit van een puntmassa die zich in de oorsprong van één of ander coördinatenstelsel bevindt.
Die puntmassa genereert uiteraard een zwaartekrachtveld en dit veld zal symmetrisch zijn in de x, y en z-richting,
want er is verder geen enkel ander object aanwezig die die symmetrie zou kunnen verstoren.

Het zwaartekrachtveld van een puntmassa
(de z-richting is niet getekend)
Indien we denken volgens Newton dan heeft het veld de volgende potentiaal:
Waarbij r gelijk is aan (in een Cartesisch stelsel):
Oorspronkelijke vergelijking uit het artikel van Einstein:
Ik bepaal even wat
partiële afgeleiden:
Dan kan ik voor het interval schrijven:
Hieruit kunnen we de volgende g
μν-componenten pikken:
Oftewel, in een Euclidische ruimte zou ik hebben:
En alle andere componenten van de metrische tensor zouden dan nul zijn, maar het voorafgaande laat zien dat ik dit breder kan trekken
(dus niet-Euclidisch en niet-Cartesisch beschouwd):
Omdat de puntmassa zich in de oorsprong bevindt en in de tijd gezien niets doet, het veld is dus statisch, kan ik stellen dat:
Met de wijsheid van de vergelijkingen (22.9) en (22.10) kan ik de tensor g van vergelijking (22.2) invullen:
Hierin zijn a en b nog onbekende functies.
Dat de ruimtelijke componenten van de g
μν (μ = 1, 2, 3 en ν = 1, 2, 3) dezelfde afwijking van één hebben
is logisch gezien het feit dat we een volkomen symmetrische situatie hebben rondom de oorsprong.
De voor de hand liggende vraag is natuurlijk: hoe vinden we nu a en b?
Daarvoor gooien we dit probleem over een hele andere boeg.
Binnen de algemene relativiteitstheorie heb ik deze metrische tensor:
En binnen de speciale relativiteitstheorie heb ik deze metrische tensor:
We gaan nu het volgende doen.
Omdat we ervanuit gaan dat de g
μν-componenten maar een beetje afwijken van de η
μν-componenten
stelt ons dit in staat een zogenaamde
lineaire benadering, oftewel een
eerste orde benadering, toe te passen.
Om te beginnen stel ik:
Of voluit geschreven:
In het vervolg dat nu gaat komen neem ik alleen de eerste ordes mee van de
verstoringsparameter ε (we doen immers een eerste orde
benadering), dus
kwadraten
en hogere
machten ga ik verwaarlozen.
Door die verwaarlozingen, die in het hiernavolgende deel van deze paragraaf gaan plaatsvinden, gaat de sommatieconventie niet meer eenduidig
werken.
De sommatieconventie zegt dat er in iedere term van een vergelijking gesommeerd moet worden over de index die precies tweemaal voorkomt,
éénmaal laag en éénmaal hoog, en die duidelijkheid verdwijnt wanneer we gaan verwaarlozen.
Daarom voeg ik tot nader order de sommeringstekens toe zodat er geen verwarring kan ontstaan.
En ik wil er nogmaals op wijzen dat Griekse indices over vier dimensies lopen en Latijnse indices alleen over de drie ruimtelijke dimensies.
In paragraaf 12 hebben we de Riemann-tensor gevonden:
Oorspronkelijke vergelijking uit het artikel van Einstein:
Om daar even verderop een contractie op uit te voeren die ons bracht bij:
De laatste twee termen (met de vermenigvuldigingen van de Christoffel-symbolen) genereren
kwadraten van de verstoringsparameter ε en in de
lineaire benadering waar we nu mee bezig zijn gooi ik die dus overboord:
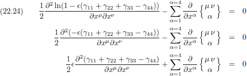
In
paragraaf 14
heeft Einstein de eis geformuleerd dat de bovenstaande tensor verdwijnt (nul wordt) indien er geen massa aanwezig is.
En omdat we het hier hebben over een puntmassa in de oorsprong is er verder helemaal nergens massa.
Oftewel, buiten de oorsprong is de tensor B
μν gelijk aan nul:
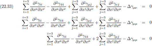
Waarmee vergelijking (22.16) wordt:
In
paragraaf 12 kwam langs:
Hiermee schrijf ik vergelijking (22.18) om:
We kunnen de
determinant g bepalen als volgt:
Echter, omdat we
kwadraten
en hogere
machten
van ε verwaarlozen reduceert dit tot de eerste term:
Dit resultaat stoppen we in (22.19):
In de tabel met Taylor-reeksen vinden we:
Als eerste orde benadering geldt dan:
Dit gegeven gebruik ik om vergelijking (22.21) te vereenvoudigen:
Vervolgens ga ik met de tweede term van de bovenstaande vergelijking knutselen:
De
afgeleiden
van η
μν zijn uiteraard nul, omdat η
μν alleen maar constanten (getallen) bevat.
Daardoor reduceert (22.25) tot:
De termen met ε
2 kunnen we verwaarlozen en daarna kunnen we ε zelfs uitdelen:
Nu hebben we een vergelijking waarin de parameter ε helemaal niet meer voorkomt!
Het is ook te zien dat alle componenten waarbij α ≠ β nul worden (want η
αβ is dan nul).
Verder ga ik nu onderscheid maken tussen α = β = 4 (= t) en de ruimtelijke dimensies:
We hebben een statische situatie, dus alle
afgeleiden naar de tijd zijn nul en vallen eruit:
Het is op dit punt wel even interessant om te kijken naar de situatie μ = ν = 4 (= t), en alle
afgeleiden naar de tijd er gelijk weer
uit te kieperen:
Hetgeen helemaal overeenkomt met wat we in de
vorige paragraaf al vonden:
Oorspronkelijke vergelijking uit het artikel van Einstein:
En daar zagen we ook dat dat in overeenstemming is met de vergelijking van Poisson uit
paragraaf 16:
Oorspronkelijke vergelijking uit het artikel van Einstein:
Want we beschouwen nu de ruimte buiten de puntmassa in de oorsprong, en aangezien daar geen massa is, en de massadichtheid dus gelijk aan
nul is, zijn de vergelijkingen (16.17), (21.28/E68) en (22.30) equivalent.
Voor extra duidelijkheid:
Uitgaande van de vergelijkingen (22.30) en (22.31) kijk ik vervolgens naar de tensor van vergelijking (22.11) en dan volgt daar het volgende uit:
Dus we zijn alvast iets wijzer geworden over de onbekende b.
Ik wil nogmaals vermelden dat we een volkomen statische situatie hebben, dus er beweegt niets, er roteert niets, alles ‘staat stil’.
Dan ligt het voor de hand om aan te nemen dat er geen ‘kruisbestuiving’ plaatsvindt tussen de ruimtelijke dimensies en dat in
de metrische tensor alle componenten die niet op de
hoofddiagonaal liggen gelijk aan nul zijn.
Vervolgens keren we terug naar vergelijking (22.29) en kijken we alleen naar de componenten op de
hoofddiagonaal.
Daarvoor stel ik ν = μ:
Ik ga dit nog iets verder uitwerken en ik vul de componentwaarden van de tensor van vergelijking (22.11) in (voor zover mogelijk):
Tenslotte sommeer ik over μ = 1, 2, 3, 4:
Volgens goed gebruik gooien we de
afgeleiden naar de tijd eruit:
Omdat er geen ‘kruisbestuiving’ plaatsvindt tussen de ruimtelijke dimensies betekent dat dat in bovenstaande vergelijking alle termen
tussen de haken nul zijn.
Dan gaat (22.36) over in:
Oftewel, afgezien van eventuele constanten:
Einstein gaat hier zomaar van uit in zijn artikel en ik vond dat een beetje kort door de bocht, daarom deze vrij lange omweg.
Ik vul dit vervolgens in in de tensor van vergelijking (22.11):
Nu hebben we de onbekende b geëlimineerd en rest ons nog de taak om een uitdrukking voor a te vinden.
In vergelijking (22.32) vonden we dat ∆b = 0, en volgens (22.37) en (22.38) geldt dan ook dat ∆a = 0.
Paragraaf 21 leerde ons:
Hierin is φ de potentiaalfunctie van het zwaartekrachtveld volgens de newtoniaanse zwaartekracht.
Dit stelt ons in staat om a te bepalen:
Oftewel, afgezien van eventuele constanten:
Nu maken we nogmaals gebruik van:
Voor a vind ik dan:
Ik stel:
Oorspronkelijke vergelijking uit het artikel van Einstein:
Einstein zit hier even een factor twee verkeerd en schrijft 8π in plaats van 4π, maar verderop doet hij het wel goed.
Nu kan ik voor a schrijven:
En door dit vervolgens in te vullen in de metrische tensor van vergelijking (22.39) krijg ik tenslotte:
Of in indexnotatie:
Oorspronkelijke vergelijking uit het artikel van Einstein:
Einstein merkt nog op dat met de bovenstaande tensor (22.45) aan de veldvergelijkingen voldaan wordt, in een eerste orde benadering wel te verstaan.
Dat heb ik hiervoor uitgebreid laten zien, want ik ben uitgegaan van een lineaire benadering (= eerste orde), dus dat klopt inderdaad (uiteraard).
Nu wordt het nog interessanter, want we willen weten wat er met de metrische eigenschappen van de ruimte gebeurt als gevolg van die puntmassa
in de oorsprong.
Oftewel, wat doet zwaartekracht met de ruimte?
Voor een ‘klein stukje’ ruimtetijd geldt altijd:
Oorspronkelijke vergelijking uit het artikel van Einstein:
Vervolgens legt Einstein een meetlat van één meter lang
op de x-as.
Voor die meetlat geldt dan (de cijfers die hoog bij de dx staan zijn uiteraard indices en geen exponenten):
Oorspronkelijke vergelijking uit het artikel van Einstein:
Bovendien geldt voor het (ruimteachtige) interval:
Oorspronkelijke vergelijking uit het artikel van Einstein:
Deze informatie, de vergelijkingen (22.48) en (22.49), stop ik in (22.47) en dan krijg ik:
Oorspronkelijke vergelijking uit het artikel van Einstein:
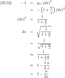
De component g
11 kunnen we aflezen uit de vergelijkingen (22.46/E70) of uit de tensor van (22.45), en omdat de meetlat op de
x-as ligt zijn y en z gelijk aan nul:
Oorspronkelijke vergelijking uit het artikel van Einstein:
En deze waarde stoppen we in vergelijking (22.50) en x
1 noem ik vanaf nu gewoon x:
Omdat de meetlat op de x-as ligt is x gelijk aan r en daarom kunnen we ook schrijven:
Oorspronkelijke vergelijking uit het artikel van Einstein:
De meetlat wordt korter onder invloed van de zwaartekracht!
De mate waarin de meetlat korter wordt is de laatste term in bovenstaande vergelijking:
De factor c
2 (hierboven) moest er nog bij in vanuit de metrische tensor (zoals ook uit een dimensiecheck blijkt).
Uitgaande van het oppervlak van de Aarde hebben we de volgende
fysische gegevens:
| Gravitatieconstante |
G |
6.67428 ∙ 10−11 |
m3/(kg s2) |
| Lichtsnelheid (exact) |
c |
2.99792458 ∙ 108 |
m/s |
| Massa Aarde |
m |
5.9742 ∙ 1024 |
kg |
| Straal Aarde (evenaar) |
r |
6.378 ∙ 106 |
m |
Waarna een rekenmachine ons vertelt:
Dit is uiteraard in de verste verte niet merkbaar of meetbaar, maar dat maakt het fenomeen niet ongelooflijker: zwaartekracht vervormt de ruimte!
Maar dat het effect niet na te meten is was voor Einstein destijds wel vervelend, want hij wilde uiteraard graag experimenteel bewijs voor zijn
nieuwe theorie.
Helaas, helaas, daar ging dit verschijnsel niet voor zorgen.
Wanneer ik de meetlat negentig graden draai dan heb ik:
Oorspronkelijke vergelijking uit het artikel van Einstein:
Voor het interval geldt nog steeds:
Oorspronkelijke vergelijking uit het artikel van Einstein:
En ik mag stellen:
Oorspronkelijke vergelijking uit het artikel van Einstein:
Oorspronkelijke vergelijking uit het artikel van Einstein:
De vergelijkingen (22.56) stop ik wederom in (22.47) en dan krijg ik:
De component g
22 kunnen we aflezen uit de vergelijkingen (22.46/E70) of uit de tensor van (22.45), en omdat de meetlat op de
x-as ligt zijn y en z gelijk aan nul.
Strikt genomen is dit natuurlijk niet juist, want de meetlat ligt nu dwars op de x-as en steekt aan beide kanten uit.
Echter, voor het gemak doen we alsof de meetlat net zo lang is als dat de x-as breed is (we doen dus net alsof de x-as een meter breed is).
Of anders gezegd: de lengte van de meetlat is te verwaarlozen.
Aldus vinden we voor g
22:
Deze waarde stoppen we in vergelijking (22.57) en x
2 noem ik vanaf nu gewoon y:
Of zoals Einstein het opschrijft:
Oorspronkelijke vergelijking uit het artikel van Einstein:
Indien de meetlat radieel wordt neergelegd (evenwijdig aan de veldlijnen van het zwaartekrachtveld) dan zal er een verkorting van de
meetlat optreden, maar indien de meetlat tangentieel wordt neergelegd (loodrecht op de veldlijnen van het zwaartekrachtveld) dan is
de verkorting afwezig.
We werken in deze paragraaf met een eerste orde benadering van de veldvergelijkingen en zelfs dan komen we al tot afwijkingen van de
Euclidische meetkunde.
Einstein brengt dit terecht nog even onder de aandacht, want meer dan tweeduizend jaar lang (!) gold het werk van Euclides als basis
voor alle meetkunde, het was en is een soort meetkundige bijbel, en nu blijkt dat daar kanttekeningen bij geplaatst dienen te worden.
De volgende logische stap is natuurlijk om een klok in het zwaartekrachtveld te plaatsen en uit te rekenen wat daarmee gebeurt.
In dit geval geldt:
Oorspronkelijke vergelijking uit het artikel van Einstein:
Er geldt nu voor het (tijdachtige) interval:
Oorspronkelijke vergelijking uit het artikel van Einstein:
Hiermee gaat (22.47) over in:
Oorspronkelijke vergelijking uit het artikel van Einstein:
Ik werk dit wat verder uit en x
4 noem ik vanaf nu t:
De component g
44 kunnen we ook aflezen uit de vergelijkingen (22.46/E70) of uit de tensor van (22.45) waardoor (22.64) wordt:
Einstein doet deze stap iets anders:
Oorspronkelijke vergelijking uit het artikel van Einstein:
Maar dat verandert uiteraard niets aan het resultaat: de klok loopt langzamer onder invloed van de zwaartekracht!
Dit noemen we
gravitationele tijddilatatie.
Einstein schrijft het trouwens nog iets anders op waarbij hij gebruik maakt van (21.33/E68a):
Oorspronkelijke vergelijking uit het artikel van Einstein:
Dan kan (22.65) ook geschreven worden als:
Oorspronkelijke vergelijking uit het artikel van Einstein:
De mate waarin de klok langzamer loopt is de laatste term in vergelijking (22.65):
De factor c
2 (hierboven) moest er uiteraard weer bij in vanuit de metrische tensor.
Uitgaande van het oppervlak van de Aarde hebben we de volgende
fysische gegevens:
| Gravitatieconstante |
G |
6.67428 ∙ 10−11 |
m3/(kg s2) |
| Lichtsnelheid (exact) |
c |
2.99792458 ∙ 108 |
m/s |
| Massa Aarde |
m |
5.9742 ∙ 1024 |
kg |
| Straal Aarde (evenaar) |
r |
6.378 ∙ 106 |
m |
Waarna een rekenmachine ons wederom vertelt:

Global Positioning System
We kunnen de tijddilatatie ook uitrekenen voor een GPS-satelliet (GPS = Global Positioning System) die op een hoogte van 20200 km boven het
aardoppervlak zijn rondjes om de Aarde draait.
We komen dan tot een ∆t van 167 ps.
Deze tijddilataties zijn ten opzichte van een waarnemer die zich ergens in oneindig bevindt, maar een waarnemer die zich op het
aardoppervlak bevindt en naar de GPS-satelliet kijkt ‘ziet’ als tijdsverschil het verschil van de dilataties die we net hebben
uitgerekend, dus 696 − 167 = 529 ps.
Na een minuut is het tijdsverschil dan al opgelopen tot 60 maal 529 ps is bijna 32 ns.
In die tijd legt het licht een afstand af van bijna tien meter.
Met andere woorden, indien wij geen weet zouden hebben van de algemene relativiteitstheorie dan zouden de GPS-satellieten na één
minuut al niet meer ‘weten’ of je op de weg rijdt of ernaast en binnen enkele uren zou het GPS-systeem volledig waardeloos zijn.
De baansnelheid van de satellieten veroorzaakt ook tijddilatatie, volgens de speciale relativiteitstheorie, die ook nog in rekening
gebracht dient te worden waardoor de hele situatie iets ingewikkelder wordt, maar dat neemt niet weg dat gravitationele
tijddilatatie binnen korte tijd GPS onbruikbaar zou maken indien we daar niet voor zouden compenseren.
Eén van de maatregelen is bijvoorbeeld dat de atoomklok in iedere GPS-satelliet voor de lancering een klein beetje te langzaam is
afgesteld zodat de atoomklok, wanneer de satelliet in een baan om de Aarde draait, ‘synchroon’ loopt met onze klokken hier op Aarde.
Daarnaast worden er correcties gepleegd door computers die alles kloppend maken/rekenen.
Deze tijddilatatie, en ook de lengtecontractie die ik hiervoor besprak, zijn ten opzichte van een waarnemer in oneindig waar het
zwaartekrachtveld nul is en de metrische tensor g
μν overgaat in de metriek η
μν
van een vlakke ruimte.
Voor twee waarnemers, die zich beiden in het zwaartekrachtveld bevinden, worden de vergelijkingen voor lengtecontractie en
tijddilatatie simpelweg:
Omdat het zwaartekrachtveld een conservatief veld is hoeft dit niet via ingewikkelde
integralen maar volstaan deze twee eenvoudige vergelijkingen.

In een conservatief veld kost de route van A naar B altijd evenveel energie
Helaas voor Einstein waren er honderd jaar geleden nog helemaal geen satellieten, laat staan GPS-systemen, dus ook dit fenomeen, de
gravitationele tijddilatatie, kon hij niet aanvoeren als bewijs voor zijn algemene relativiteitstheorie.
Toch borduurt Einstein nog even voort op dit onderwerp om de volgende reden.
Licht dat door een ster uitgezonden wordt zal van kleur verschuiven richting het rood of richting het blauw als gevolg van het
Doppler-effect,
vernoemd naar Christian Doppler die het effect voor het eerst in 1842 beschrijft en onderbouwt.
Indien een ster zich van ons verwijdert zal er roodverschuiving optreden en indien de ster op ons toekomt zal er
blauwverschuiving optreden.
In formulevorm ziet het Doppler-effect
er als volgt uit, allereerst indien de waarnemer zich richting de bron beweegt (de index w staat
voor waarnemer, de index g duidt de golf aan en de index b geeft de bron aan):
Of wanneer de waarnemer zich van de bron af beweegt:
Deze twee vergelijkingen kan ik samennemen als volgt:
Wat je wellicht niet direct zou verwachten is dat het anders is wanneer niet de waarnemer maar de bron beweegt.
Dit is het geval dat de bron richting waarnemer beweegt:
Of wanneer de bron zich van de waarnemer af beweegt:
Ook deze twee vergelijkingen kan ik samennemen als volgt:
Omdat absolute beweging niet bestaat besteedt Einstein in zijn artikel uit 1905
Zur Elektrodynamik bewegter Körper (Over de elektrodynamica van bewegende lichamen),
het artikel over de speciale relativiteitstheorie, aandacht aan het
Doppler-effect (in paragraaf 7 van dat artikel).
- Geïnteresseerd in het oorspronkelijke artikel?
Stuur mij dan een email (karel@voorbijeinstein.nl)
met als onderwerp “PDF bestand 020104000026” en ik stuur je de file (gratis) toe.
Opmerking: ik kan inderdaad ook zorgen dat je het artikel rechtstreeks van mijn website kunt downloaden,
maar dan schend ik auteursrechten.
Daarin komen de bovenstaande vergelijkingen van Doppler allemaal samen in de volgende enkele relativistische vergelijking:
Oorspronkelijke vergelijking uit het artikel van Einstein:
Omdat:
En:
Dit stelt ons in staat om voor lage snelheden, wanneer γ bij goede benadering gelijk aan één is, vergelijking (22.77) om te schrijven
naar de verschillende Doppler-vergelijkingen.
Echter, Einstein brengt een roodverschuiving onder de aandacht die ook waarneembaar zou moeten zijn in het licht van sterren maar die
niet het gevolg is van het
Doppler-effect.
Want voor een frequentie geldt:
In bovenstaande vergelijking is T de periodetijd van één golf.
Dus stelt Einstein dat wanneer een klok langzamer loopt binnen een zwaartekrachtveld ten opzichte van een waarnemer buiten dat
zwaartekrachtveld, dit gevolgen moet hebben voor golfverschijnselen die zich in dat zwaartekrachtveld bewegen.
Een klok loopt daar langzamer, oftewel, de tijd gaat daar langzamer, dus de periodetijd van een golf is langer (de periodetijd neemt toe)
en daardoor is de frequentie lager (zie vergelijking (22.80)).
Het licht dat zich ‘ontworstelt’ aan een ster zal daarom een roodverschuiving manifesteren die los staat van een eventuele
roodverschuiving, of blauwverschuiving, ten gevolge van het
Doppler-effect.
De grootte van deze
gravitationele roodverschuiving is de reciproke van de tijddilatatie:
De laatste term van (22.81) is de relatieve roodverschuiving:
Van de Zon hebben we de volgende
fysische gegevens:
| Gravitatieconstante |
G |
6.67428 ∙ 10−11 |
m3/(kg s2) |
| Lichtsnelheid (exact) |
c |
2.99792458 ∙ 108 |
m/s |
| Massa Zon |
m |
1.9891 ∙ 1030 |
kg |
| Straal Zon |
r |
6.957 ∙ 108 |
m |
Waarna een rekenmachine ons weer verder helpt:
Twee
miljoenste!
Dat is de verschuiving van het zonlicht richting het rood.
Om dat minieme verschil te meten is uiteraard geen sinecure, zeker niet honderd jaar geleden.
De Duitse astronoom Erwin Finlay-Freundlich was daar wel druk mee bezig, maar helaas voor Einstein had dat begin 1916, toen hij dit
artikel schreef, nog geen resultaten opgeleverd.
Einstein zegt dat in een voetnoot en moet toegeven dat ook de gravitationele roodverschuiving van sterlicht, op het moment dat hij
het artikel schreef, nog geen bewijs oplevert dat zijn theorie juist is.
Maar wat hebben we hier nou aan, wat is er zo bijzonder aan dit resultaat?
Want dat licht wordt beïnvloed door zwaartekracht is op zich heel logisch.
In 1900 kwam Max Planck met deze eenvoudige vergelijking die aangeeft dat de energie van een lichtstraal,
een foton, recht evenredig is met de frequentie van die lichtstraal:
Hierin is h een
evenredigheidsconstante, de
constante van Planck:
| Constante van Planck |
h |
6.626070 ∙ 10−34 |
kg m2/s |
Vijf jaar later kwam Einstein met deze
wereldberoemde vergelijking die de equivalentie
tussen energie en massa weergeeft:
Door (22.84) en (22.86) aan elkaar gelijk te stellen kun je de massa van een lichtstraal uitrekenen:
En zwaartekracht is er de oorzaak van dat massa’s elkaar aantrekken, dus waarom zou een lichtstraal daar een uitzondering op zijn?
Daarom zal een lichtstraal die zich uit de greep van een zwaartekrachtveld probeert los te maken, net als een voetbal of een raket,
arbeid moeten verrichten:
En dat gaat ten koste van de energie die de lichtstraal al had, dus dit is het deel van de energie die de lichtstraal moet opofferen
(en wat dus roodverschuiving gaat veroorzaken, daarom komt ook het minteken erbij):
En dan hebben we exact hetzelfde resultaat als (22.82), dus met de hulp van een paar simpele natuurkundewetten, waar men in 1915 al
weet van had, is de gravitationele roodverschuiving ook uit te rekenen.
In 1960 voerden de Amerikanen Robert Pound en Glen Rebka een experiment uit, waarvan ik de details hier niet ga bespreken, waarbij de
gravitationele roodverschuiving bevestigd werd.
Zij deden dit in een toren van 22.5 meter hoog en zagen zich geconfronteerd met een ∆φ/c2 van:
Dit vereiste een zo grote meetnauwkeurigheid dat de stand van de (meet)techniek dit niet eerder mogelijk maakte.
Einstein heeft het zelf niet meer mee mogen maken (hij stierf in 1955), maar ook dit fenomeen voltrekt zich zoals Einstein voorspelde.
Ik wil hier nog bij opmerken dat het licht van de Zon weliswaar een
roodverschuiving ondergaat wanneer dat licht het
zwaartekrachtveld van de Zon verlaat, maar tegelijkertijd ondergaat datzelfde licht een
blauwverschuiving omdat het dan het
zwaartekrachtveld van de Aarde binnenkomt.
Ervanuit gaande dat de waarnemer zich op Aarde bevindt uiteraard.
Echter, (22.55) en (22.68) laten zien dat de factor φ/c
2 voor de Aarde meer dan een factor 3000 kleiner is dan voor de
Zon, dus dat compenserende effect kan volledig verwaarloosd worden.
We gaan verder met het artikel over de algemene relativiteitstheorie en Einstein stelt het gedrag van lichtstralen in een
zwaartekrachtveld aan de orde.
In
paragraaf 4
kwam deze vergelijking naar voren die een afstand beschrijft in de vierdimensionale ruimtetijd, het interval, binnen
de speciale relativiteitstheorie:
In
paragraaf 4
hebben we ook geleerd dat het lichtachtige interval, het interval van een lichtstraal, gelijk is aan nul.
Dan wordt vergelijking (4.2):
En indien we een klein stukje ruimtetijd beschouwen wordt dit:
Oorspronkelijke vergelijking uit het artikel van Einstein:
Het equivalent van (22.91) binnen de algemene relativiteitstheorie is:
Oorspronkelijke vergelijking uit het artikel van Einstein:
Indien de richting van de lichtstraal bekend is dan betekent dit dat de verhouding tussen dx, dy en dz bekend is.
Of in indexnotatie geschreven: de verhouding tussen dx
1, dx
2 en dx
3:
Oorspronkelijke vergelijking uit het artikel van Einstein:
Met behulp van vergelijking (22.93/E73) opent dat de deur om deze grootheden te bepalen:
Oorspronkelijke vergelijking uit het artikel van Einstein:
Oorspronkelijke vergelijking uit het artikel van Einstein:
Oorspronkelijke vergelijking uit het artikel van Einstein:
Dus dat gaan we natuurlijk doen.
Door te stellen dat:
Vervolgens ga ik vergelijking (22.93/E73) helemaal uitschrijven en ook gebruik maken van de bovenstaande twee vergelijkingen:
Nu heb ik een eenvoudige
tweedegraads vergelijking
waaruit ik de snelheid v
x, de snelheid in de x-richting, kan oplossen.
En door die daarna te vermenigvuldigen met p respectievelijk q vind ik gemakkelijk de snelheden v
y en v
z en
heb ik dus alle componenten van de snelheid v gevonden.
In een Euclidische ruimte (en een heel klein stukje ruimte is altijd Euclidisch, want we komen daar in het limietgeval van de
algemene relativiteitstheorie zijnde de speciale relativiteitstheorie) kan ik dan voor de snelheid schrijven:
Oorspronkelijke vergelijking uit het artikel van Einstein:
Dit kan ik ook schrijven als:
We hebben inmiddels geleerd dat zwaartekracht de ruimte vervormt.
Maar anderzijds hebben we de heilige graal van het elektromagnetisme die zegt dat de snelheid van het licht een absolute constante is.
Indien we te maken hebben met een gekromde ruimte dan zijn de componenten van de metrische tensor, de g
μν, geen
constanten meer maar variabelen.
Volgens vergelijking (22.96) zal v
x daardoor ook variabel worden en vergelijking (22.98) zegt dat het daardoor onvermijdelijk
is dat p en q ook variabel worden om de constante lichtsnelheid veilig te stellen.
En omdat p en q de richting bepalen van de lichtstraal betekent dit dat zwaartekracht een lichtstraal laat
afbuigen.
Ieder antwoord dat de mensheid vindt leidt logischerwijs tot de volgende vraag en dat is in dit geval: hoeveel dan?
Hoeveel wordt een lichtstraal afgebogen door de zwaartekracht van een bepaald voorwerp?
Dat gaan we nu berekenen.
In het artikel van Einstein gaat dat vergezeld van een plaatje, het enige plaatje in het artikel, en die heb ik gekopieerd en hieronder
geplaatst:
We gaan uit van een x
1-x
2-vlak (een x-y-vlak) met daarin een lichtstraal die de x
1-as (de x-as) kruist
precies parallel aan de x
2-as (de y-as).
De x
3-as (de z-as) staat loodrecht op het papier en die doet niet mee in het verhaal.
In de oorsprong van dit assenstelsel bevindt zich een puntmassa m en de lichtstraal passeert deze puntmassa op een afstand ∆.
De lichtstraal dendert voort in de richting van zijn snelheid γ (in bovenstaande figuur is dat de
x
2-richting op het moment dat de lichtstraal de x
1-as kruist) en de richting die hier
loodrecht op staat noemen we n (in bovenstaande figuur is dat de x
1-richting op het moment dat de lichtstraal
de x
1-as kruist).
Een afbuiging in een bepaalde richting betekent dat er in die richting een kracht werkt en dus ook een versnelling.
Versnelling is gedefinieerd als:
Of in dit geval:
De afbuiging van de lichtstraal vindt uiteraard plaats in de richting n (of −n) en als we willen weten
hoeveel de
lichtstraal afbuigt, en niet
hoe snel de lichtstraal afbuigt, dan zijn we geïnteresseerd in de volgende grootheid
(met een minteken, want de afbuiging vindt plaats in de richting van de puntmassa):
Oorspronkelijke vergelijking uit het artikel van Einstein:
Einstein refereert hier ook nog aan het principe van Huygens.
Onze landgenoot schreef in de zeventiende eeuw een verhandeling over het gedrag van golven en dit principe draagt nu zijn naam.
Huygens stelde dat ieder punt van een golffront het centrum is van een nieuw bolvormig golffront en al deze individuele
golffronten vormen samen het overkoepelende golffront volgens onderstaande figuur.
De onderste gebogen stippellijn is aanvankelijk het golffront en een korte tijd ∆t later wordt het
front gevormd door de volgende gebogen stippellijn.
De voortplantingsrichting is loodrecht op het golffront.
Dat de afbuiging van de lichtstraal volgens (22.101) verloopt voldoet volgens Einstein volledig aan het
principe van Huygens.
Waarvan akte.
De richting loodrecht op de voortplantingsrichting van de lichtstraal is x
1, en omdat de lichtsnelheid zeer groot is
zal de afbuiging van de lichtstraal gering zijn en staat x
1 bij goede benadering de hele tijd loodrecht op de lichtstraal.
Daarom kunnen we voor (22.101) ook schrijven:
De afbuiging van de lichtstraal terwijl die een stukje dx
2 aflegt is dan:
Waarmee de totale afbuiging van de lichtstraal wordt:
Oorspronkelijke vergelijking uit het artikel van Einstein:
Goed, het is weer tijd om te knutselen.
Allereerst pak ik vergelijking (22.96):
Omdat er in de z-richting niets gebeurt is q = 0 en houden we dit over:
Een blik op de metrische tensor van (22.46/E70) herinnert ons eraan dat g
i4 = 0 waardoor we nog wat termen kunnen wegstrepen:
Ik heb dy en dz middels p en q aan dx gekoppeld, maar ik had ook dy als referentierichting kunnen nemen als volgt:
Vergelijking (22.106) had er dan op dit punt zo uitgezien (dat mag je zelf narekenen):
Zoals ik hiervoor al aangaf staat x
1 bij goede benadering de hele tijd loodrecht op de lichtstraal en reist de lichtstraal
de hele tijd (ook bij goede benadering) in de richting van x
2.
Dat houdt in dat p = 0 en dan gaat (22.109) over in:
Dit ga ik gebruiken in (22.97):
Deze twee componenten kan ik aflezen uit de metrische tensor van (22.46/E70):
Oorspronkelijke vergelijking uit het artikel van Einstein:
Dit resultaat ga ik vervolgens
partieel differentiëren
naar x
1, en voor de overzichtelijkheid gebruik ik in de rest van
deze berekening x
1 = x, x
2 = y en x
3 = z:
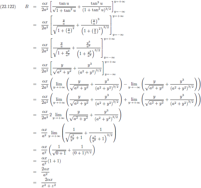
Nu kan ik de
integraal gaan uitrekenen:
Voor het gemak stel ik:
Dan wordt de
integraal:
Om deze
integraal
op te lossen hebben we een trucje nodig:
goniometrische substitutie door tangens of cotangens.
Ik stel:
Hiermee kan ik de
integraal
omschrijven én oplossen als volgt:
Nu moeten we weer terugwerken naar de oorspronkelijke variabele y.
Daarvoor dienen we te bedenken dat de
sinus
te schrijven is als een
functie van de tangens:
Ik kan het resultaat van de
integraal
daarom ook op deze wijze opschrijven:
Volgens vergelijking (22.117) geldt:
Dit vul ik in (22.120):
We weten dat z = 0:
En we weten dat de x-afstand tot de puntmassa gelijk is aan ∆:
Nu ga ik α invullen:
Oorspronkelijke vergelijking uit het artikel van Einstein:
Einstein zit hier weer even een factor twee verkeerd en schrijft 4π in plaats van 2π, maar hij rekent het getal wel goed uit.
Ook hier geldt weer dat dit resultaat op zich eigenlijk helemaal niet bijzonder is, want ook aan een lichtstraal is massa toe te
kennen (zie (22.84) tot en met (22.87)), en dus zal zwaartekracht een lichtstraal afbuigen.
Om het belang van het resultaat (22.125/E74) in te zien gaan we daarom nu de afbuiging van een lichtstraal uitrekenen volgens de
klassieke mechanica, oftewel, ‘op z’n Newton’s’.
Allereerst introduceer ik de grootheid
impuls, het product van massa en snelheid:
Voor impuls geldt een behoudswet, impuls gaat nooit verloren en komt er ook niet ‘zomaar ineens’ bij.
Een goed voorbeeld hiervan zijn biljartballen.
In het plaatje hieronder heeft de linkerbiljartbal een bepaalde snelheid en de andere twee ballen liggen stil.
Na de botsing is de som van de snelheden (opgeteld als vectoren) exact gelijk aan de snelheid van de linkerbal vóór de botsing
(ervanuit gaande dat de ballen allemaal dezelfde massa hebben, dat de botsing volkomen elastisch is en dat de ballen
wrijvingsloos rollen).

De wet van behoud van impuls in de praktijk
Oftewel:
Daarnaast kennen we ook het
impulsmoment, dat is de impuls maal de
loodrechte afstand tot een bepaald scharnierpunt
of rotatie-as (en voor de eenvoud laat ik de vectoraanduidingen achterwege, want dat doet niets af aan de essentie):
Ook voor het impulsmoment geldt een behoudswet.
In de praktijk manifesteert zich dat bijvoorbeeld bij een ijsdanseres die sneller rond gaat draaien op het moment dat ze haar
armen intrekt (r wordt kleiner, dus ω neemt toe), en bij het Aarde-Maan systeem waar de Aarde steeds langzamer ronddraait
(door de werking van eb en vloed) en de Maan zich van de Aarde verwijdert (ω neemt af, dus r wordt groter).
Met behulp van de behoudswet voor impulsmoment gaan we dit probleem, de afbuiging van een lichtstraal
volgens de klassieke mechanica, aanpakken.
Het probleem wordt weergegeven middels onderstaande figuur.
In de oorsprong bevindt zich een massa m
1 en die wordt gepasseerd door een massa m
2.
We gaan er vooralsnog van uit dat m
2 van alles kan zijn en straks kijken we wat er gebeurt indien m
2 een
lichtstraal is.
Tevens gaan we ervanuit dat m
1 veel groter is dan m
2.
Het gevolg hiervan is dat we mogen stellen dat m
1 niet in beweging komt en dus geen
kinetische energie (bewegingsenergie) verkrijgt.
De massa m
2 komt aan de linkerkant het plaatje binnen en wint
kinetische energie (door de aantrekking van m
1)
waarbij ze potentiële energie verliest (wet van behoud van energie).
Na de passage van m
1 gebeurt het omgekeerde en neemt de potentiële energie van m
2 toe en de
kinetische energie af.
Omdat m
1 op zijn plaats blijft moet de initiële
kinetische energie van m
2 gelijk zijn aan de uiteindelijke
kinetische energie van m
2:
Dus de beginsnelheid van m
2 is gelijk aan de eindsnelheid.
Daarnaast geldt natuurlijk ook de wet van behoud van impulsmoment.
Ook hierbij helpt het dat er met m
1 niets gebeurt, want daardoor kunnen we stellen (volgens (22.128)),
waarbij we gelijk gebruik maken van (22.129):
Dus de loodrechte afstand van m
2 tot m
1 is (lang) voor de passage gelijk aan de loodrechte afstand van
m
2 tot m
1 (lang) na de passage.
De beide massa’s oefenen zwaartekracht uit op elkaar volgens (de gravitatiewet van Newton):
Door deze aantrekkende zwaartekracht gaat m
2 in de richting van m
1 bewegen, langs de lijn die hen beide
verbindt, met een snelheid v:
De
afgeleide hiervan is de versnelling:
Door dit met de massa m
2 te vermenigvuldigen ontstaat een kracht:
Daarnaast is er een middelpuntvliedende kracht, de centripetale kracht, aan het werk terwijl m
2 om m
1
heen vliegt.
Deze centripetale kracht is:
Indien m
2 rondjes zou draaien om m
1 dan was het simpel, want r is dan constant en dr/dt gelijk aan nul.
Bovendien was dθ/dt dan ook constant en gelijk aan de
hoeksnelheid ω.
De vergelijking voor het krachtenevenwicht zou dan luiden:
Maar nu liggen de zaken gecompliceerder.
Het krachtenevenwicht betreffende m
2 is:
Dit gaan we nu oplossen en zoals meestal vraagt dat enig geknutsel.
Om te beginnen introduceer ik een nieuwe variabele door te stellen:
Vervolgens bepaal ik de
afgeleide van r naar u:
In het plaatje van de afbuigende lichtstraal heb ik dr/dt aangegeven.
Dit is de verandering van de positievector als functie van de tijd, en dat is dus een snelheid.
Loodrecht daarop staat de verandering van de hoek θ als functie van de tijd, dat is de hoeksnelheid dθ/dt, en door die
te vermenigvuldigen met r ontstaat er een snelheid.
Ik heb de snelheid van m
2 daarmee ontbonden in twee componenten, de radiële component dr/dt en de tangentiële component
r dθ/dt.
Het impulsmoment van m
2 is de snelheid van m
2 maal de loodrechte component van de positievector
r, maar
ik kan natuurlijk ook voor het impulsmoment de positievector
r nemen maal de component van de snelheid die daar loodrecht
op staat.
En de snelheidscomponent r dθ/dt staat altijd loodrecht op de positievector.
Kortom, voor het impulsmoment geldt:
Dit kan ik omschrijven naar:
Met behulp van (22.138) wordt dit:
Voor de radiële component van de snelheid kan ik schrijven:
De vergelijkingen (22.139) en (22.142) vul ik in in (22.143):
Door (22.144) te
differentiëren vind ik de radiële versnelling:
Met behulp van (22.142) en (22.144) wordt dit:
Nu kan ik verder met het oplossen van (22.137) door daar (22.138), (22.142) en (22.146) in in te vullen:
Zoals (22.129) en (22.130) aangeven kan ik voor het impulsmoment schrijven (en omdat v
1 = v
2 noem ik die simpelweg v):
Hiermee kan ik (22.147) tenslotte schrijven als:
De vergelijking (22.137) is een
differentiaalvergelijking, een mengelmoes van
afgeleiden en ‘gewone’ functies, en die hebben we
via allerlei omweggetjes omgeschreven van drie variabelen (r, t en θ) naar twee variabelen (u en θ).
Het linkerlid van (22.149) is een constante en die noem ik k:
Waarmee (22.149) uiteindelijk deze aantrekkelijke vorm krijgt:
Over het oplossen van differentiaalvergelijkingen zijn (ook) boeken vol geschreven, maar ik wil het hier even kort houden.
De vergelijking (22.151) kent de functie u en de
tweede afgeleide van de functie u naar θ.
Sinussen en
cosinussen
worden na tweemaal
differentiëren weer ‘zichzelf’, want een
sinus wordt weer een
sinus en een
cosinus wordt weer een
cosinus.
Voor een
sinus ziet dat er zo uit:
En voor de
cosinus wordt dat als volgt:
De algemene oplossing van (22.151) is daarom:
Hierin zijn A, B en C constanten die we nog moeten bepalen.
Om te beginnen substitueer ik de oplossing (22.158) in de vergelijking (22.151):
Nu kennen we alvast de constante C en die gaan we invullen in (22.158):
Aanvankelijk was de massa m
2 nog heel ver verwijderd van m
1, dus r was op dat moment bij goede benadering
oneindig en de hoek θ was toen gelijk aan nul.
En als r gelijk is aan oneindig dan is u gelijk aan nul (zie (22.138)).
Deze beginvoorwaarden gaan we invullen in (22.160):
En daarmee hebben we ook B gevonden.
Onze oplossing ziet er nu zo uit:
De
afgeleide
van r naar de tijd is de radiële snelheid en die bereken ik volgens (22.144):
Nu kijken we weer naar de beginvoorwaarden, r was op dat moment bij goede benadering oneindig en de hoek θ was toen gelijk aan nul.
De radiële snelheid dr/dt was op dat moment −v:
Dat maakt onze oplossing compleet:
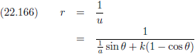
De reciproke hiervan is r:
Nu willen we natuurlijk weten wat er gebeurt met θ wanneer r naar oneindig gaat.
Indien r oneindig is dan is u gelijk aan nul en dat gebruik ik in vergelijking (22.165):
Een oplossing hiervan is θ = 0, dat is de beginsituatie, maar het is uiteraard die andere oplossing, de eindsituatie,
die ons interesseert.
Om die oplossing te vinden ga ik (22.167) omschrijven en daarbij moeten we de
dubbele-hoek-formules uit de
goniometrie
goed in gedachten houden:
Of iets anders opgeschreven:
Hiermee kan ik (22.167) schrijven als:
Maar we zoeken niet de hoek θ maar de hoek φ:
Vergelijking (22.170) wordt dan:
Voor kleine hoeken is de
tangens
van een hoek bij goede benadering gelijk aan de hoek zelf:
Einstein gebruikte ∆ in plaats van a als loodrechte afstand tot de centrale massa, die centrale massa noem ik nu gewoon m, en
ik doe nu alsof ik met een lichtstraal te maken heb, dus v = c:
Dit vergelijk ik met de hoek die Einstein vond in vergelijking (22.125/E74):
Het minteken van (22.174) komt omdat de hoek φ onder de horizontale as ligt, maar wat het buitengewoon spectaculaire resultaat
is van deze hele rekenexercitie is dat de hoek volgens Einstein tweemaal zo groot is als volgens Newton!
Dus niet een verschil van een paar procenten, of nog minder, het verschil is maar liefst honderd procent!
Dit trok uiteraard de aandacht.
Laten we niet de omstandigheden vergeten, de jaren 1915 en 1916 waren tijdens de Eerste Wereldoorlog, maar desondanks wilde de
wetenschappelijke wereld dit proberen na te meten.
Het volgende idee werd hiervoor uitgewerkt.
Het licht van sterren die vlak bij de Zon staan, vanaf de Aarde gezien uiteraard, zou het meest afgebogen worden onder invloed van
de zwaartekracht van de Zon omdat de Zon de grootste zwaartekrachtbron is ‘in de buurt’.
Laten we even gaan rekenen om te kijken waar we het precies over hebben, we hebben van de Zon de volgende
fysische gegevens:
| Gravitatieconstante |
G |
6.67428 ∙ 10−11 |
m3/(kg s2) |
| Lichtsnelheid (exact) |
c |
2.99792458 ∙ 108 |
m/s |
| Massa Zon |
m |
1.9891 ∙ 1030 |
kg |
| Straal Zon |
r |
6.957 ∙ 108 |
m |
En dat brengt ons bij deze uitkomst:
Minder dan twee boogseconden moest men dus als lichtafbuiging proberen te detecteren.
Volgens de stand van de meettechniek honderd jaar geleden behoorde dat net tot de mogelijkheden.
Onder normale omstandigheden zie je natuurlijk helemaal geen sterren rondom de Zon omdat het licht van die sterren volledig
wordt overstraald door het licht van de Zon zelf.
Maar tijdens een totale zonsverduistering schuift de Maan tussen de Zon en de Aarde en bedekt de Maan de volledige zonneschijf.
Dan is het natuurlijk ook wel prettig indien tijdens de zonsverduistering de Zon zich temidden van heldere sterren bevindt
zodat er een optimaal resultaat behaald kan worden.
Het gelukkige toeval wil dat er op 29 mei 1919 een zonsverduistering op ging treden en de Zon zou zich dan in de sterrenhoop
Hyaden bevinden, een groep van ongeveer tweehonderd sterren in het sterrenbeeld Stier waarvan er meerdere met het blote oog
zichtbaar zijn.
In maart 1917 bracht de Astronomer Royal dit in Groot-Brittannië onder de aandacht en een
Committee of the Royal Society and Royal Astronomical Society ging direct aan de slag om
voorbereidingen te treffen voor observaties op 29 mei 1919.
Gelukkig eindigde intussen de Eerste Wereldoorlog en er konden twee expedities op pad gaan.
De ene expeditie, onder leiding van de heren Crommelin en Davidson, vertrok naar Sobral in Brazilië.

Sobral, Brazilië
De tweede expeditie, onder leiding van de heren Cottingham en Eddington, ging op weg naar het Portugese eiland Principe voor de
kust van Afrika.

Het eiland Principe
Over beide expedities zijn mooie verhalen te schrijven, over de bewolking boven Principe, over de effecten van het tropische
klimaat op de apparatuur, over het grote temperatuurverschil met Engeland, over foto’s die mislukt bleken en over een onverwachte windhoos.
Verder waren er uiteraard nog wat technische obstakels en wat moessonregens, maar uiteindelijk werden er, maanden na thuiskomst,
officiële resultaten gepubliceerd.
De definitieve resultaten van beide expedities waren:
| Sobral |
Principe |
| 1.98 ± 0.12 ’’ |
1.61 ± 0.30 ’’ |
Het gemiddelde van de twee expedities was 1.80 boogseconden, de algemene relativiteitstheorie stond!
Helaas moet ik ook hier een teleurstelling vermelden, want Einstein voltooide zijn algemene relativiteitstheorie
in 1915 en het artikel daarover werd gepubliceerd in 1916.
Oftewel, de bevestiging dat licht zich gedraagt onder invloed van zwaartekracht zoals de theorie van Einstein
voorspelt zou nog enkele jaren op zich laten wachten.
Op het moment dat het artikel (dit artikel waar we mee bezig zijn) bij
Annalen der Physik binnenkwam
was dit hele lichtafbuigingsverhaal nog slechts een theorie zonder enige experimentele verificatie.
Einstein rekent ook nog uit wat de afbuiging van een lichtstraal is die langs de planeet Jupiter scheert,
dat gaan we natuurlijk ook even narekenen met deze
fysische gegevens:
| Gravitatieconstante |
G |
6.67428 ∙ 10−11 |
m3/(kg s2) |
| Lichtsnelheid (exact) |
c |
2.99792458 ∙ 108 |
m/s |
| Massa Jupiter |
m |
1.899 ∙ 1027 |
kg |
| Straal Jupiter |
r |
7.1492 ∙ 107 |
m |
Indien lichtafbuiging bij Jupiter nagemeten zou worden dan heb je natuurlijk geen last van een gigantische zee van storend licht
zoals je dat bij de Zon hebt, maar het effect is ongeveer een factor honderd kleiner.
En tweehonderdste boogseconde meten was honderd jaar geleden echt een brug te ver.
Eén boogseconde was op de fotografische platen die de Principe-expeditie gebruikten, in combinatie met hun telescoop, maar 17 μm...
Einstein heeft het in deze paragraaf gehad over verschillende effecten die het gevolg zijn van zwaartekracht.
Over meetlatten die korter worden, over klokken die langzamer lopen, over de roodverschuiving (of blauwverschuiving) van licht en
over de afbuiging van licht, maar hij staat op dit punt (in 1915) nog steeds met lege handen voor wat betreft hard bewijs dat zijn
theorie ook echt klopt.
Er rest hem nog één onderwerp dat hij gaat bespreken: de afwijking in de baanbeweging van de planeet Mercurius.
Zoals ik in de eerste paragraaf
al aangaf vertoont deze planeet een precessie van zijn
perihelium van 43 boogseconden per eeuw
meer dan op theoretische gronden kon worden verklaard.
En die theoretische gronden waren destijds uiteraard gebaseerd op de wetten van Newton, en dus ook de wetten van Kepler, want Newton
stond tot aan 1915 op een onwankelbaar voetstuk.
Het
perihelium,
het punt van dichtste nadering tot de Zon, van Mercurius verschuift heel langzaam.
Of met andere woorden, Mercurius draait in een baan rond de Zon maar zijn baan zelf draait ook (heel langzaam) om de Zon.
Deze baandraaiing, de precessie, kent vier oorzaken:
Het eerste effect is puur een coördinatencorrectie, omdat wij vanaf een ‘wiebelende’ Aarde staan waar te nemen.
Deze correctie is eenvoudig uit te rekenen.
In iets minder dan 24 uur draait de Aarde om haar as, maar tevens is er de tolbeweging van diezelfde as en die kent een periode
van ongeveer 25800 jaar, dit noemen we een
platonisch jaar (genoemd naar Plato).
Een totale omwenteling van 360 graden gedeeld door 25800 jaar is 0.01395 graden per jaar, maal 3600 is 50.23 boogseconden per jaar,
maal 100 is 5023 boogseconden per eeuw.
Dus als we de precessie van Mercurius meten dan moeten we daar 0.01395 graden per jaar of 5023 boogseconden per eeuw vanaf trekken,
puur omdat het meetinstrument (die op de Aarde staat) niet stilstaat.
De
beïnvloeding van de baan van Mercurius door de andere planeten
leidt tot een precessie van 532 boogseconden per eeuw en het
gevolg van de afplatting van de Zon is te verwaarlozen
(dit is ruimschoots minder dan één boogseconde per eeuw).
De waarde die we meten is 5598 boogseconden per eeuw.
Wanneer we daar 5023 en 532 vanaf trekken dan blijven er nog 43 onverklaarbare boogseconden over.
Onverklaarbaar totdat Einstein met zijn algemene relativiteitstheorie komt en aan de precessie van Mercurius gaat rekenen.
Einstein vindt het verschil van 43 boogseconden en meldt dit tijdens een presentatie voor de
Königlich Preussischen Akademie der Wissenschaften op 18 november 1915.
Van die presentatie is, zoals van iedere presentatie, een verslag gemaakt, de zogenaamde
Sitzungsberichte.
Dat artikel gaan we natuurlijk ook nog ‘even’ in detail doornemen:
Uiteindelijk komt hij tot dit historische resultaat:
Oorspronkelijke vergelijking uit het artikel van Einstein:
We weten van Mercurius deze
fysische gegevens:
| Apheliumafstand Mercurius |
ra |
6.98169 ∙ 1010 |
m |
| Periheliumafstand Mercurius |
rp |
4.60012 ∙ 1010 |
m |
Daaruit kunnen we de halve lange as a berekenen:
De halve korte as b
zoeken we op:
| Halve korte baanas Mercurius |
b |
5.66715 ∙ 1010 |
m |
Zodat we de excentriciteit e van de Mercuriusbaan kunnen berekenen:
En de omlooptijd van Mercurius
zoeken we op:
| Omlooptijd Mercurius |
T |
87.97 |
dagen |
Dan komen we tot deze relativistische precessie:
Voor de omtrek van een ellips, en dus ook voor de omloopbaan van Mercurius, geldt ongeveer:
En de precessieverschuiving is:
Op een totale omloopbaan van 360
miljoen
kilometer gaat het om een
periheliumverschuiving
van nog geen dertig kilometer!
In de negentiende eeuw viel dit al op en Einstein kon het honderd jaar geleden verklaren.
Met zijn algemene relativiteitstheorie!
Het spreekt vanzelf dat Einstein hier buitengewoon blij over was.
Diverse boeken beschrijven zijn eureka-moment en één ding blijkt daaruit heel duidelijk: Einstein ging uit zijn dak.
Zoals gezegd maakt Einstein dit op 18 november 1915 wereldkundig en een week later, op 25 november, spreekt hij nogmaals voor de academie
en komt hij met de definitieve vergelijkingen van de algemene relativiteitstheorie.
Kort daarna, in december, gebeurt er nog iets opmerkelijks, een man uit het Duitse leger lost de vergelijkingen van Einstein op en schrijft
daarover terstond een brief naar Einstein:

De brief van Schwarzschild
| Vertaling van de brief van Schwarzschild |
 |
 |
|
22.XII.15.
Verehrter Herr Einstein!
XXXUm mit Ihrer Gravitationstheorie vertraut zu werden, habe ich mich näher mit dem von Ihnen in der
Arbeit über das Merkurperihel gestellte und in 1. Näherung gelöste Problem beschäftigt.
Zunächst machte mich ein Umstand sehr konfus.
Ich fand für die erste Näherung der Koeffizienten gμν auβer ihrer Lösung
noch folgende zweite:
XXXDanach hätte es auβer Ihrem α noch eine zweite gegeben und das Problem wäre physikalisch unbestimmt.
Daraufhin machte ich einmal auf gut Glück den versuch einer volständigen Lösung.
Eine nicht zu groβe Rechnerei ergab folgendes Resultat: Es gibt nur ein Linienelement, das Ihre Bedingungen 1) bis 4) nebst
Feld- und Determinantengl. erfüllt und im Nullpunkt und nur im Nullpunkt singulär ist.
XXXSei:
dann lautet das Linienelement:
R, θ, φ sind keine „erlaubten“ Koordinaten, mit denen man die Feldgleichungen bilden dürfte, weil sie nicht
die Determinante 1 haben, aber das Linienelement schreibt sich in ihnen am schönsten.
XXXDie Gleichung der Bahnkurve bleibt genau die von Ihnen in erster Näherung erhaltene (11), nur muβ
man unter x nicht 1/r, sondern 1/R verstehen, was ein Unterschied von der Ordnung 10−12 ist, also praktisch
absolut gleichgültig.
XXXDie Schwerigkeit mit den zwei willkürlichen Konstanten α und β, welche die erste Näherung gab, löst
sich dahin, daβ β einen bestimmten Wert von der Ordnung α4 haben muβ, so wie α gegeben ist, sonst würde
die Lösung bei Fortsetzung der Näherungen divergent.
XXXEs ist also auch die Eindeutigkeit Ihres Problems in schönster Ordnung.
XXXEs ist eine ganz wunderbare Sache, daβ von einer so abstrakten Idee aus die Erklärung der Merkur-anomalie
so zwingend herauskommt.
XXXWie Sie sehen, meint es der Krieg freundlich mit mir, indem er mir trotz heftigen Geschützfeuers in der
durchaus terrestrischer Entfernung diesen Spaziergang in dem von Ihrem Ideenlande erlaubte.
|
22.XII.15.
Geachte heer Einstein!
XXXOm met uw gravitatietheorie vertrouwd te raken, heb ik mij nader bezig gehouden met datgene wat u stelt in uw werk over
het Mercuriusperihelium
en het in eerste benadering opgeloste probleem.
Aanvankelijk bracht één aspect mij zeer in verwarring.
Ik vond voor de eerste benadering van de coëfficiënten gμν behalve uw oplossing nog de volgende tweede:
XXXDaarna was er behalve uw α nog een tweede en het probleem zou daardoor fysiek onbepaald zijn.
Vervolgens deed ik eens op goed geluk een poging tot een exacte oplossing.
Een niet zo omvangrijke berekening leverde het volgende resultaat: er is slechts één lijnelement, dat aan uw voorwaarden 1) tot 4) naast
Veld- en Determinantenvergelijking voldoet en in de oorsprong, en alleen in de oorsprong, singulier is.
XXXDoor te stellen:
dan wordt het lijnelement:
R, θ, φ zijn geen „toegestane“ coördinaten, waarmee men de veldvergelijkingen zou mogen opstellen, omdat ze niet
de determinant 1 hebben, maar het lijnelement laat zich
daarmee het mooist opschrijven.
XXXDe vergelijking van de baankromme blijft precies zoals de door u in eerste benadering gevonden (11), alleen moet
men voor x niet 1/r maar 1/R lezen, hetgeen een verschil in de orde van grootte van 10−12 is, dus praktisch
absoluut verwaarloosbaar.
XXXHet probleem met de twee willekeurige constanten α en β, die uit de eerste benadering volgden, lost
zich als volgt op, dat β een bepaalde waarde van de orde α4 moet hebben, zodra α bekend is, omdat anders
de oplossing bij volgende benaderingen divergent zou worden.
XXXAldus is ook de eenduidigheid van uw probleem helemaal in orde.
XXXHet is een bijzonder wonderbaarlijk iets, dat vanuit een zo abstract idee de verklaring van de Mercurius-afwijking
zo dwingend naar voren komt.
XXXZoals u ziet, is de oorlog mij goedgezind, aangezien hij het mij toestond om ondanks het hevige kanongebulder
in de verte een wandeling te maken in uw ideeënlandschap.
|
Hierboven zie je de brief die Schwarzschild aan Einstein stuurde in december 1915.
Even een historische kanttekening van mijn zijde: in de meeste boeken over relativiteitstheorie wordt deze
brief van Schwarzschild, en alles wat daarmee samenhangt, in het jaar 1916 geplaatst, maar zoals je kunt zien is
het toch echt in 1915 dat de brief geschreven is.
En zoals deze militair, Karl Schwarzschild, in de laatste zin aangeeft lijkt de oorlog (de Eerste Wereldoorlog) het
goed met hem voor te hebben, want “ondanks het hevige kanongebulder staat de oorlog het mij toe om een wandeling
te maken in uw ideeënlandschap”.
Op 13 januari 1916 brengt Einstein de berekening van Schwarzschild voor de academie en ook daar is verslag van
gemaakt (wellicht is dit tevens de reden dat de ontdekking van Schwarschild door de meeste auteurs aan het jaar
1916 wordt gekoppeld).
- Geïnteresseerd in het oorspronkelijke artikel?
Stuur mij dan een email (karel@voorbijeinstein.nl)
met als onderwerp “PDF bestand 020104000026” en ik stuur je de file (gratis) toe.
Opmerking: ik kan inderdaad ook zorgen dat je het artikel rechtstreeks van mijn website kunt downloaden,
maar dan schend ik auteursrechten.
Het is dit artikel waar Einstein eveneens aan refereert bij de vergelijking (22.178/E75) voor de relativistische
precessie (naast zijn eigen berekening van 18 november).
Helaas bleek de oorlog Karl Schwarzschild minder goed gestemd dan hij dacht, want in mei 1916 sterft hij aan een
ziekte die hij in de loopgraven in Rusland had opgedaan.
Zijn naam leeft onder andere voort als de eerste mens die een exacte oplossing vond voor de vergelijkingen van de
algemene relativiteitstheorie én, daaruit voortkomend, de
Schwarzschild-straal.
Zoals hierboven in de brief te lezen is gebeurt er ‘iets raars’ indien γ/R gelijk wordt aan één.
Een noemer van het interval ds wordt dan gelijk aan nul en er ontstaat een soort barrière in de ruimtetijd, een
point-of-no-return als je er vanaf ‘onze kant’ doorheen gaat.
Destijds was dit moeilijk te begrijpen en nog moeilijker te aanvaarden, in de eerste plaats door Einstein zelf,
maar tegenwoordig staat γ/R = 1 te boek als de
horizon van een
zwart gat: de
Schwarzschild-straal.
Zo zijn we aan het einde gekomen van dit artikel van Albert Einstein over de algemene relativiteitstheorie.
Een theorie met verstrekkende resultaten zoals dat een klok onder de invloed van zwaartekracht langzamer gaat lopen.
De implicaties van zijn theorie gingen zo ver dat Einstein zelf ze niet allemaal (direct) wilde aanvaarden.
Ik noemde hierboven al de
zwarte gaten maar ook de
uitdijing van het heelal is iets waar Einstein zich aanvankelijk tegen verzette.
De schoonheid van de werkelijkheid is zo onvoorstelbaar dat onze extreem bekrompen geesten daar simpelweg (nog) geen raad mee weten.
Zelfs niet als je Albert Einstein heet.