Holomorfie van de functie
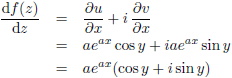
f (z) = eax (cos y + i sin y)

De grafiek van f (z) voor a = 2

De grafiek van |f (z)| voor a = 2



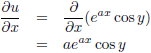
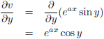
De Cauchy-Riemann-vergelijkingen luiden:


De grafiek van df (z)/dz voor a = 2

De grafiek van |df (z)/dz| voor a = 2

De grafiek van f (z) voor a = 1

De grafiek van |f (z)| voor a = 1

De grafiek van df (z)/dz voor a = 1

De grafiek van |df (z)/dz| voor a = 1


Holomorfie van de functie
Holomorfie van de functie
Holomorfietabel
Samenvatting van de holomorfietabel
De integraal van
De integraal van
De integraal van
De integraal van
De integralen van
De integralen van
Vectoren
Vectoren, vraagstuk 38
Vectoren, vraagstuk 83
Taylor-reeksen
De Taylor-reeks van
De Taylor-reeksen van
De stelling van Green
Holomorfie van de functie
Holomorfie van de functie
Uitleg artikel algemene relativiteitstheorie: paragraaf 3
De transformatievergelijking voor de amplitude van EM-golven
Leid de energie-impuls-relatie af
Astronomie
Het magnetische veld van een lange rechte geleider
De integraal van
De Witte Dag
De integraal van
De cycloïde
De minimale straal van een holle bol
Een planeettijdreismachine
De integralen van
Gravitationele rood-/blauwverschuiving
Getijdenkrachten
Zijn wij vroeg of laat?
Overzichtspagina wiskunde
Overzichtspagina natuurkunde
Overzichtspagina filosofie
Doneer enkele euro’s
Wetenschappelijke boeken te koop
Lezingen