Holomorfie van de functie
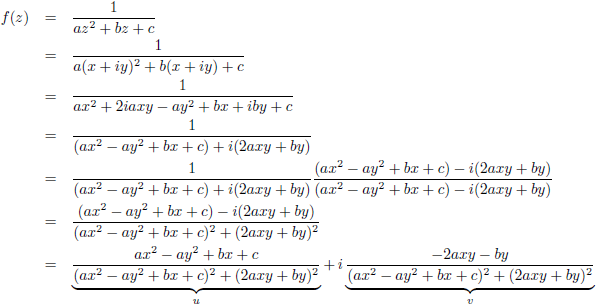
f (z) = 1/(az2 + bz + c)

De grafiek van f (z) voor a = 1, b = 3, c = 1

De grafiek van f (z) voor a = 1, b = 3, c = 1 (genormaliseerd)

De grafiek van |f (z)| voor a = 1, b = 3, c = 1



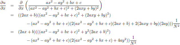
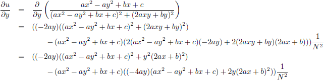
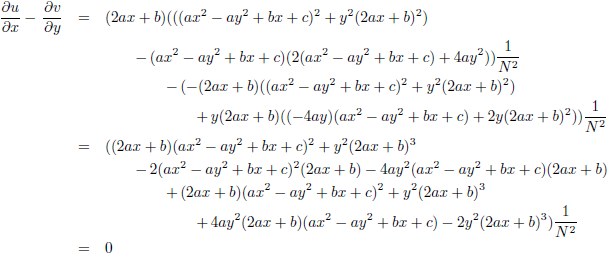
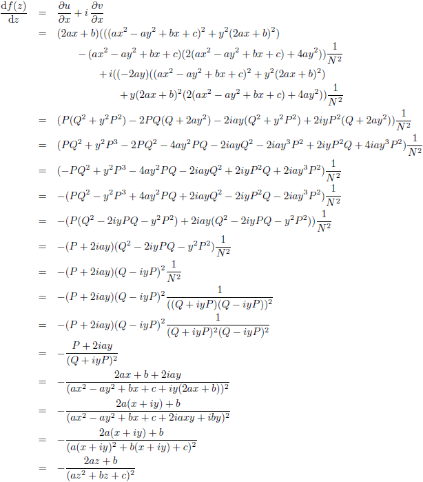
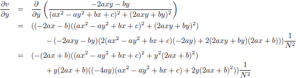
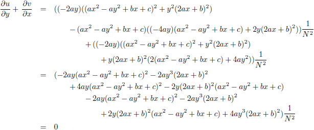
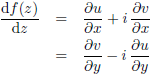
De Cauchy-Riemann-vergelijkingen luiden:



De grafiek van df (z)/dz voor a = 1, b = 3, c = 1



Holomorfie van de functie
Holomorfie van de functie
Holomorfietabel
Samenvatting van de holomorfietabel
De integraal van
De integraal van
De integraal van
De integraal van
De integralen van
De integralen van
Vectoren, vraagstuk 28
Vectoren, vraagstuk 73
Christoffel-symbolen van de tweede soort bij een diagonale metriek
De Taylor-reeks van
De Taylor-reeksen van
Wat is groter?
De gammafunctie
Holomorfie van de functie
Relativiteitstheorie rekenkundig, hoofdstuk 6: voelen
Driedimensionale - en vierdimensionale snelheid
Een ruimtereis naar het sterrenstelsel Andromeda
De invaltijd van een baksteen die in een zwart gat valt
De energie die een zwart voorwerp uitstraalt
Wanneer heb je voor het laatst écht iets meegemaakt?
De integraal van
De Witte Dag
De integraal van
De cycloïde
De minimale straal van een holle bol
Een planeettijdreismachine
De integralen van
Gravitationele rood-/blauwverschuiving
Getijdenkrachten
Zijn wij vroeg of laat?
Overzichtspagina wiskunde
Overzichtspagina natuurkunde
Overzichtspagina filosofie
Doneer enkele euro’s
Wetenschappelijke boeken te koop
Lezingen