Vectoren, vraagstuk 73
Gegeven het vectorveld:
Maak een tekening van het veld en enkele veldlijnen daarin.
Bepaal de parametervoorstelling van de veldlijn door het punt (x
0, y
0).
Het veld ziet er ongeveer zo uit:
Met Python geplot ziet dat er zo uit:
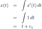
In zijn algemeenheid geldt voor een veldlijn:
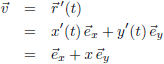
Voor het veld geldt:
Hieruit volgt:
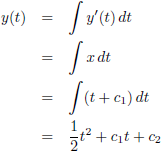
Door
integratie krijg ik:
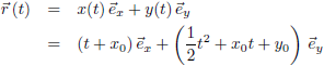
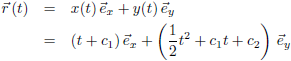
De parametervoorstelling van een veldlijn wordt daarmee:
Door te stellen dat:
Nu weet ik zeker dat de veldlijn door het punt (x
0, y
0) gaat.
Het eindresultaat wordt dan: