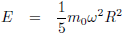
De relativistische rotatie-energie van een massieve bol
Bereken de relativistische rotatie-energie van een massieve homogene bol.
We hebben het hier over een perfecte bol met een bepaalde rustmassa m0, en die massa is gelijkmatig
verdeeld over het gehele volume (want de bol is homogeen).
En zoals de vraag al aangaf hebben we te maken met een massieve bol, zie het opengewerkte plaatje hiernaast.
De bol heeft een straal R ...
... en draait met een bepaalde hoeksnelheid ω.
Het totale volume van de bol is:
Voor de dichtheid van deze homogene bol geldt:
De
kinetische energie van een bepaalde massa m is:
Wanneer ik dat vertaal naar de
kinetische energie
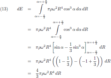
(in dit geval dus rotatie-energie) van een infinitesimaal stukje van de bol, van het volume, wordt dat:
Dit infinitesimale stukje volume kies ik als volgt, ik neem een horizontaal bandje van de bol (de groene lijn)
en tevens definieer ik een hoek α tussen dit bandje en de ‘evenaar’ van de bol.
De straal van het bandje kan ik dan schrijven als:
De omtrek van het bandje is:
Nu ga ik even inzoomen op het bandje.
Het bandje is infinitesimaal hoog (of breed, net hoe je het noemen wilt) en sluit daardoor een infinitesimaal hoekje dα in.
Daarmee wordt de hoogte van het bandje:
Het bandje heeft een infinitesimale dikte dR en het volume van het bandje is omtrek maal hoogte maal dikte:
Met behulp van vergelijking (2) kan ik dan de massa van het bandje opschrijven:
Dit resultaat stop ik in vergelijking (4):
En voor de rotatiesnelheid van het bandje geldt:
Waarmee vergelijking (10) uiteindelijk wordt:
Om de totale rotatie-energie te berekenen ga ik
integreren
waarbij ik gebruik maak van de
tabel met integralen.
Ik
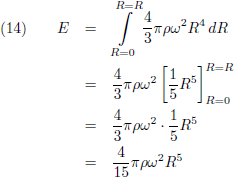
integreer eerst naar α zodat ik de rotatie-energie van het
oppervlak te weten kom:
Dit is de rotatie-energie van het oppervlak, een bolschil.
Door R te laten variëren van 0 tot R neem ik alle bolschillen samen en vind ik de rotatie-energie van de gehele bol.
Kortom, ik ga nog een keer
integreren:
Dit resultaat ga ik verbouwen met behulp van de vergelijkingen (1) en (2):
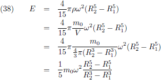
Op
deze pagina heb ik het
traagheidsmoment van een homogene
perfect-ronde ster berekend, oftewel een homogene massieve bol.
Dit was het antwoord:
Wanneer ik dit combineer met vergelijking (15) krijg ik:
Inderdaad, helemaal wat het zou moeten zijn.
Dit is een mooi resultaat, maar wel op de klassieke manier berekend!
De vraag daarentegen was om de rotatie-energie relativistisch te berekenen, en dat vereist een andere aanpak.
We beginnen daarvoor met de wereldberoemde formule van Einstein:
Oftewel:
Nu komt de Lorentz-factor γ er bij in:
Vergelijking (19) verandert hiermee in:
Met behulp van de vergelijkingen (9) en (11) wordt dit:
Ik stel:
Waarmee (22) wordt:
De volgende stap is weer om te gaan
integreren
en ik maak wederom gebruik van de
tabel met integralen:
Dit is wederom de rotatie-energie van het oppervlak, een bolschil.
Door R te laten variëren van 0 tot R neem ik alle bolschillen samen en vind ik de rotatie-energie van de gehele bol.
Kortom, ook nu ga ik nog een keer
integreren
(waarbij ik nogmaals gebruik maak van de
tabel met integralen):
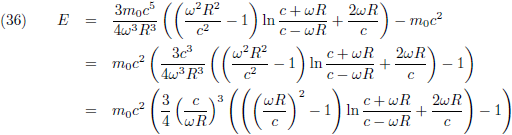
Dit resultaat ga ik weer verbouwen met behulp van de vergelijkingen (1) en (2):
En ik maak ook gebruik van vergelijking (23) om zo weer terug te komen bij mijn oorspronkelijke variabele R:
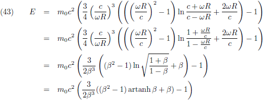
Kunnen we deze oplossing proberen te duiden?
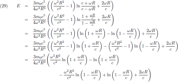
Daarvoor ga ik het bovenstaande resultaat iets anders opschrijven:
Ik ga gebruik maken van de reeksontwikkeling van de
natuurlijke logaritme.
In de tabel met Taylor-reeksen vinden we:
Dit ga ik loslaten op vergelijking (29) en ik moet helaas nogal wat termen meenemen om zometeen iets zinvols over te houden
(dus dit wordt tijdelijk even een grote puinhoop):
Nu ga ik voorzichtig wat haakjes wegwerken:
En vervolgens kan ik termen gaan samennemen:
Of wat algemener opgeschreven:
Merk op dat de eerste term gelijk is aan de rustenergie, de tweede term is gelijk aan de klassieke berekening van de
rotatie-energie volgens vergelijking (15) en alle volgende termen zijn relativistische bijdragen (die pas
significant worden wanneer ωR in de buurt komt van c):
De energie die ik uitgerekend heb, vergelijking (28), is de totale energie van de bol.
De vraag was echter om de rotatie-energie uit te rekenen, daarom moet ik de rustenergie nog in mindering brengen:
In onderstaande grafiek heb ik de rotatie-energie van de bol uitgezet als functie van ωR/c.

De rotatie-energie van de bol als functie van ωR/c voor m
0 = 1 kg,
klassiek (de rode lijn) en relativistisch (de groene lijn)
Hiervoor
integreerde ik van R = 0 tot R = R, zie de
vergelijkingen (14) en (26).
Het is natuurlijk ook wel interessant om nog even te kijken naar een bol met een bepaalde wanddikte en daarom doe
ik het nog eens over met
integratiegrenzen
R
1 (de binnenstraal) en R
2 (de buitenstraal).
Eerst de klassieke berekening:
Ik ga de dichtheid er weer uitwerken:
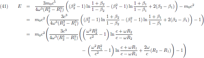
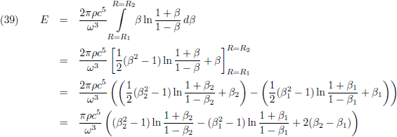
Nu op de relativistische manier:
Met β
1 = ωR
1/c en β
2 = ωR
2/c.
Nu ga ik de dichtheid er weer uitwerken:
Tenslotte ga ik ook hier de rustenergie vanaf trekken om alleen de rotatie-energie over te houden en ik werk al die
β’s er nog even uit:
Samen met het resultaat van
deze pagina
(de rotatie-energie van een bol met wanddikte nul) kom ik tot het volgende overzicht:
| Rotatie-energie van een bol |
 |
Klassiek (volgens Newton) |
Relativistisch (volgens Einstein) |
| Holle bol met wanddikte nul |
 |
 |
| Holle bol met eindige wanddikte |
 |
 |
| Massieve bol |
 |
 |
Tot slot wil ik nog opmerken dat dit de
area tangens hyperbolicus is:
Hiermee kan ik vergelijking (36) heel compact opschrijven als volgt:
En hetzelfde kan ik uiteraard doen met (41):