Het relativistische impulsmoment van een holle bol
Bereken het relativistische impulsmoment van een holle bol.
We hebben het hier over een perfecte bol met een bepaalde rustmassa m0, en die massa is gelijkmatig
verdeeld over het gehele oppervlak.
En zoals de vraag al aangaf hebben we te maken met een holle bol, zie het opengewerkte plaatje hiernaast.
De wand van de bol heeft voor het gemak een verwaarloosbare dikte.
De bol heeft een straal R ...
... en draait met een bepaalde hoeksnelheid ω.
De totale oppervlakte van de bol is:
Voor de dichtheid van het oppervlak geldt:
De impuls van een bepaalde massa m is:
Wanneer ik dat vertaal naar de impuls van een infinitesimaal stukje oppervlak wordt dat:
Dit infinitesimale stukje oppervlak kies ik als volgt, ik neem een horizontaal bandje van de bol (de rode lijn)
en tevens definieer ik een hoek α tussen dit bandje en de ‘evenaar’ van de bol.
De straal van het bandje kan ik dan schrijven als:
De omtrek van het bandje is:
Nu ga ik even inzoomen op het bandje.
Het bandje is infinitesimaal hoog (of breed, net hoe je het noemen wilt) en sluit daardoor een infinitesimaal hoekje dα in.
Daarmee wordt de hoogte van het bandje:
De oppervlakte van het bandje is omtrek maal hoogte:
Met behulp van vergelijking (2) kan ik dan de massa van het bandje opschrijven:
Dit resultaat stop ik in vergelijking (4):
En voor de rotatiesnelheid van het bandje geldt:
Waarmee vergelijking (10) uiteindelijk wordt:
Nu heb ik de vergelijking voor een infinitesimaal beetje impuls, maar de vraag gaat over impulsmoment:
Omdat de impuls p en de arm r loodrecht op elkaar staan kan ik de vectoraanduidingen weglaten:
Voor een infinitesimaal beetje impulsmoment geldt dan:
Dit combineer ik met de vergelijkingen (5) en (12):
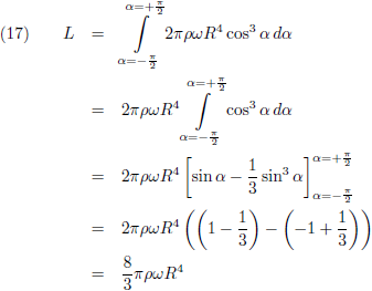
Om het totale impulsmoment te berekenen ga ik
integreren
waarbij ik gebruik maak van de
tabel met integralen:
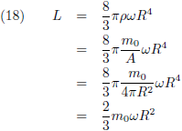
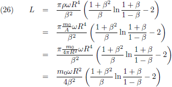
Dit resultaat ga ik verbouwen met behulp van de vergelijkingen (1) en (2):
Dit is een mooi resultaat, maar wel op de klassieke manier berekend!
De vraag daarentegen was om het impulsmoment relativistisch te berekenen, en dat vereist een andere aanpak.
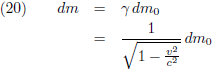
Want dan komt voor de massa de Lorentz-factor γ er bij in:
Oftewel:
Met behulp van de vergelijkingen (9) en (11) wordt dit:
Voor een infinitesimaal beetje impulsmoment geldt dan:
Ik stel:
Waarmee (22) wordt:
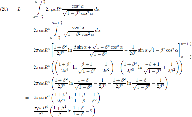
De volgende stap is weer om te gaan
integreren
en ik maak wederom gebruik van de
tabel met integralen:
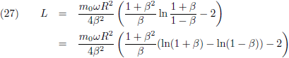
Dit resultaat ga ik weer verbouwen met behulp van de vergelijkingen (1) en (2):
Kunnen we deze oplossing proberen te duiden?
Daarvoor ga ik het bovenstaande resultaat iets anders opschrijven:
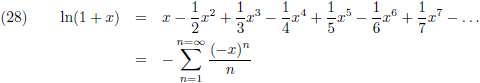
Ik ga gebruik maken van de reeksontwikkeling van de
natuurlijke logaritme.
In de tabel met Taylor-reeksen vinden we:
Dit ga ik loslaten op vergelijking (27):
Merk op dat de eerste term gelijk is aan de klassieke berekening van het impulsmoment volgens vergelijking (18) en alle
volgende termen zijn relativistische bijdragen (die pas significant worden wanneer ωR in de buurt komt van c):
In onderstaande grafiek heb ik het impulsmoment van de bol uitgezet als functie van ωR/c.

Het impulsmoment van de bol als functie van ωR/c voor m
0 = 1 kg en R = 1 m,
klassiek (de rode lijn) en relativistisch (de groene lijn)
Tot slot wil ik nog opmerken dat dit de
area tangens hyperbolicus is:
Hiermee kan ik vergelijking (26) heel compact opschrijven als volgt: