Holomorfie van de functie
f (z) = 1/(z − z0)

De grafiek van f (z) voor a = 0, b = 0

De grafiek van f (z) voor a = 0, b = 0 (genormaliseerd)

De grafiek van |f (z)| voor a = 0, b = 0



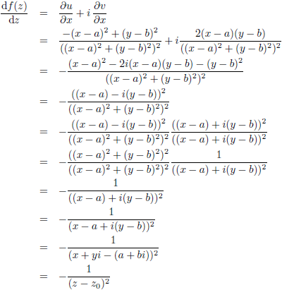
De Cauchy-Riemann-vergelijkingen luiden:


De grafiek van df (z)/dz voor a = 0, b = 0

De grafiek van |df (z)/dz| voor a = 0, b = 0


Holomorfie van de functie
Holomorfie van de functie
Holomorfietabel
Samenvatting van de holomorfietabel
De integraal van
De integraal van
De integraal van
De integraal van
De integralen van
De integralen van
Combinaties en manipulaties met nabla
Vectoren, vraagstuk 44
Vectoren, vraagstuk 89
Taylor-reeksen
De Taylor-reeks van
De convergentie van een reeks
Matrices
Holomorfie van de functie
Integreren van complexe functies
Uitleg artikel algemene relativiteitstheorie: paragraaf 8
De transformatievergelijking voor de energie van EM-golven
De naam van een zwart gat
Seculaire verstoringen
Oplossing voor de wet van Poisson
De integraal van
De Witte Dag
De integraal van
De cycloïde
De minimale straal van een holle bol
Een planeettijdreismachine
De integralen van
Gravitationele rood-/blauwverschuiving
Getijdenkrachten
Zijn wij vroeg of laat?
Overzichtspagina wiskunde
Overzichtspagina natuurkunde
Overzichtspagina filosofie
Doneer enkele euro’s
Wetenschappelijke boeken te koop
Lezingen