Vectoren, vraagstuk 74
Veldlijnen van een in poolcoördinaten gegeven vectorveld.
Bekijk het vectorveld:
Noem de parametervoorstelling van een veldlijn:
Bekijk het vectorveld:
-
Laat zien dat de coördinaatfuncties van een veldlijn oplossingen zijn van het stelsel differentiaalvergelijkingen:

-
Bepaal de parametervoorstelling (in poolcoördinaten) van de veldlijn door het punt (1, 0) van het vectorveld:
- Bepaal voor de gevonden veldlijn r als functie van θ, zodat de veldlijn getekend kan worden.
-
Laat zien dat de coördinaatfuncties van een veldlijn oplossingen zijn van het stelsel differentiaalvergelijkingen:
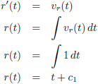
Voor de snelheid in de richting van r (de tangentiële snelheid) geldt:

Voor de snelheid in de richting van θ (de radiële snelheid) ligt het iets gecompliceerder. We kennen (neem ik aan):
Door deze vergelijking te verbouwen krijg ik:
Samengevat hebben we nu:

-
Bepaal de parametervoorstelling (in poolcoördinaten) van de veldlijn door het punt (1, 0) van het vectorveld:
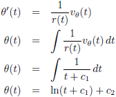
Uit de parametervoorstelling van het vectorveld kan ik aflezen dat:
Het vectorveld vHieruit kan ik door integratie r (t) en θ (t) berekenen als volgt:
Door t = 0 te kiezen en het punt (1, 0) in te vullen vind ik de beide constanten:
Zodat de veldlijn tenslotte wordt:
-
Bepaal voor de gevonden veldlijn r als functie van θ, zodat de veldlijn getekend kan worden.
Voor r geldt dat:Hiermee kunnen we θ schrijven als:
Samengevat:


De grafiek van r (θ) = eθ
Door naar het volgende vraagstuk: vectoren, vraagstuk 75
Terug naar het vorige vraagstuk: vectoren, vraagstuk 73
Overzichtspagina met vraagstukken
Vraagstukken xref voor de UT
De integraal van
De integraal van
De integraal van
De integraal van
De integralen van
Vectoren, vraagstuk 3
Vectoren, vraagstuk 48
Vectoren, vraagstuk 93
Taylor-reeksen
De Taylor-reeks van
Bewerkingen met reeksen
De faculteitsfunctie
Holomorfie van de functie
Relativiteitstheorie
Uitleg artikel algemene relativiteitstheorie: paragraaf 19
Eddington-Finkelstein-coördinaten
Afleiding van de Hawking-straling
De zwaartekracht van een homogene oblate ster
Vraagstukken algemene natuurkunde
De illusie van anorexia
Gravitationele rood-/blauwverschuiving
Getijdenkrachten
Zijn wij vroeg of laat?
De Einstein-Rosen-brug
De invaltijd van een baksteen die in een zwart gat valt
De buitenkant van een wormgat
De integraal van
De astroïde
Het waarneembare universum
Wat is een wormgat?
Overzichtspagina wiskunde
Overzichtspagina natuurkunde
Overzichtspagina filosofie
Doneer enkele euro’s
Wetenschappelijke boeken te koop
Lezingen