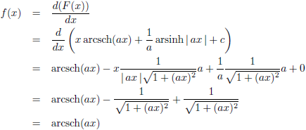
De integraal van
f (x) = arcsch (ax)
Trefwoorden/keywords: integraal/integral, integreren/integrate, f (x) = arcsch (ax)

De grafiek van f (x) = arcsch (ax) voor a = 1 (de rode lijn),
a = 2 (de groene lijn) en a = 3 (de blauwe lijn)

De grafiek van F (x) voor a = 1 (de rode lijn),
a = 2 (de groene lijn) en a = 3 (de blauwe lijn), c = 0
Naar de volgende integraal: de integraal van
Naar de vorige integraal: de integraal van
Tabel met integralen
Tabel met afgeleiden
Tabel met Taylor-reeksen
Differentiëren
Integreren
De integraal van
De integraal van
De integraal van
De integraal van
De integralen van
Vectoren
Vectoren, vraagstuk 35
Vectoren, vraagstuk 80
Hoe vormt zich de Ricci-tensor?
De Taylor-reeks van
De Taylor-reeksen van
De stelling van Green
Definities en eigenschappen van complexe getallen
Holomorfie van de functie
Uitleg artikel algemene relativiteitstheorie: inleiding
Afleiding van E = mc2
De Ricci-scalar van de Schwarzschild-metriek
De integraal van
De Witte Dag
De integraal van
De cycloïde
De minimale straal van een holle bol
Een planeettijdreismachine
De integralen van
Gravitationele rood-/blauwverschuiving
Getijdenkrachten
Zijn wij vroeg of laat?
Overzichtspagina wiskunde
Overzichtspagina natuurkunde
Overzichtspagina filosofie
Doneer enkele euro’s
Wetenschappelijke boeken te koop
Lezingen