Partieel integreren

De volgende methode heet partieel integreren. Vanuit het differentiëren kennen we de productregel en die gebruiken we indien een functie bestaat uit het product van twee andere functies:

Oftewel:
Dit kan ik ook anders opschrijven, waarbij ik gelijk de functie-van-x-aanduidingen weglaat:
Nu ga ik alles integreren:
De integraal van de afgeleide is uiteraard weer de oorspronkelijke functie:
En tenslotte bereik ik mijn einddoel door een integraal naar de andere kant te brengen:
Ik zal wederom laten zien hoe dit in de praktijk uitwerkt.

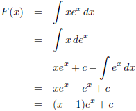
Voorbeeld 1:

Voorbeeld 2:


Integralen waarbij deze integratiemethode is toegepast:
Integrand
Primitieve


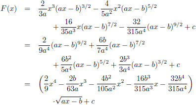
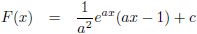
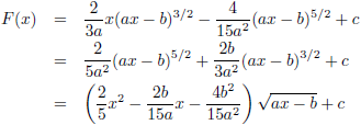
Toon uitwerking


Toon uitwerking


Toon uitwerking


Toon uitwerking


Toon uitwerking


Toon uitwerking


Toon uitwerking


Toon uitwerking


Toon uitwerking


Toon uitwerking


Toon uitwerking


Toon uitwerking


Toon uitwerking


Toon uitwerking


Toon uitwerking


Toon uitwerking


Toon uitwerking


Toon uitwerking


Toon uitwerking


Toon uitwerking


Toon uitwerking


Toon uitwerking


Toon uitwerking


Toon uitwerking


Toon uitwerking


Toon uitwerking


Toon uitwerking


Toon uitwerking


Toon uitwerking


Toon uitwerking


Toon uitwerking


Toon uitwerking


Toon uitwerking


Toon uitwerking


Toon uitwerking


Toon uitwerking


Toon uitwerking


Toon uitwerking


Toon uitwerking


Toon uitwerking


Toon uitwerking


Toon uitwerking


Toon uitwerking


Toon uitwerking


Toon uitwerking


Toon uitwerking


Toon uitwerking


Toon uitwerking


Toon uitwerking


Toon uitwerking


Toon uitwerking


Toon uitwerking


Toon uitwerking


Toon uitwerking