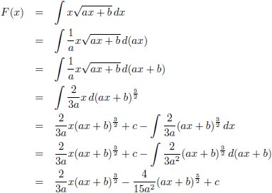
De integraal van
f (x) = x (ax + b)1/2
Trefwoorden/keywords: integraal/integral, integreren/integrate, f (x) = x (ax + b)1/2

De grafiek van f (x) = x (ax + b)1/2 voor a = 1 (de rode lijn),
a = 2 (de groene lijn) en a = 3 (de blauwe lijn), b = 5



De grafiek van F (x) voor a = 1 (de rode lijn),
a = 2 (de groene lijn) en a = 3 (de blauwe lijn), b = 5, c = 0
Naar de volgende integraal: de integraal van
Naar de vorige integraal: de integraal van
Tabel met integralen
Tabel met afgeleiden
Tabel met Taylor-reeksen
Differentiëren
Integreren
De integralen van
De Lorentz-factor
De betekenis van relativiteit
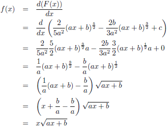
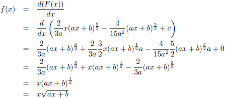
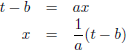
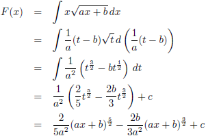
De integraal van
De integraal van
De integraal van
De integraal van
De integraal van
De integralen van
De integralen van
Wat is een vector?
Vectoren, vraagstuk 41
Vectoren, vraagstuk 86
De Taylor-reeks van
De convergentie van een reeks
De stelling van Green
De integraal van
De Witte Dag
De integraal van
De cycloïde
De minimale straal van een holle bol
Een planeettijdreismachine
De integralen van
Gravitationele rood-/blauwverschuiving
Getijdenkrachten
Zijn wij vroeg of laat?
Overzichtspagina wiskunde
Overzichtspagina natuurkunde
Overzichtspagina filosofie
Doneer enkele euro’s
Wetenschappelijke boeken te koop
Lezingen